• 文献检索
  • 文档翻译
  • 深度研究
  • 学术资讯
  • Suppr Zotero 插件Zotero 插件
  • 邀请有礼
  • 套餐&价格
  • 历史记录
应用&插件
Suppr Zotero 插件Zotero 插件浏览器插件Mac 客户端Windows 客户端微信小程序
定价
高级版会员购买积分包购买API积分包
服务
文献检索文档翻译深度研究API 文档MCP 服务
关于我们
关于 Suppr公司介绍联系我们用户协议隐私条款
关注我们

Suppr 超能文献

核心技术专利:CN118964589B侵权必究
粤ICP备2023148730 号-1Suppr @ 2026

文献检索

告别复杂PubMed语法,用中文像聊天一样搜索,搜遍4000万医学文献。AI智能推荐,让科研检索更轻松。

立即免费搜索

文件翻译

保留排版,准确专业,支持PDF/Word/PPT等文件格式,支持 12+语言互译。

免费翻译文档

深度研究

AI帮你快速写综述,25分钟生成高质量综述,智能提取关键信息,辅助科研写作。

立即免费体验

新型切伦科夫探测器提高火山μ 射线照相术可行性研究

Feasibility Study of a New Cherenkov Detector for Improving Volcano Muography.

机构信息

Department of Physics and Astronomy "E. Maiorana", University of Catania, Via S. Sofia 64, 95123 Catania, Italy.

National Institute for Nuclear Physics (INFN), Sezione di Catania, Via S. Sofia 64, 95123 Catania, Italy.

出版信息

Sensors (Basel). 2019 Mar 8;19(5):1183. doi: 10.3390/s19051183.

DOI:10.3390/s19051183
PMID:30857136
原文链接:https://pmc.ncbi.nlm.nih.gov/articles/PMC6427707/
Abstract

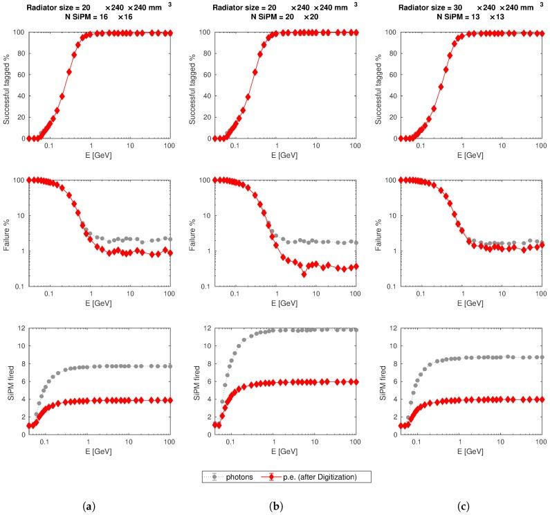
Muography is an expanding technique for internal structure investigation of large volume object, such as pyramids, volcanoes and also underground cavities. It is based on the attenuation of muon flux through the target in a way similar to the attenuation of X-ray flux through the human body for standard radiography. Muon imaging have to face with high background level, especially compared with the tiny near horizontal muon flux. In this paper the authors propose an innovative technique based on the measurement of Cherenkov radiation by Silicon photo-multipliers arrays to be integrated in a standard telescope for muography applications. Its feasibility study was accomplished by means of Geant4 simulations for the measurement of the directionality of cosmic-ray muons. This technique could be particularly useful for the suppression of background noise due to back-scattered particles whose incoming direction is likely to be wrongly reconstructed. The results obtained during the validation study of the technique principle confirm the ability to distinguish the arrival direction of muons with an efficiency higher than 98% above 1 GeV. In addition, a preliminary study on the tracking performance of the presented technique was introduced.

摘要

μ 子层析成像技术是一种用于大型物体内部结构探测的扩展技术,例如金字塔、火山以及地下洞穴等。它的原理类似于 X 射线透视技术,通过探测穿过目标的μ 子通量衰减来成像。与人体标准 X 射线透视相比,μ 子成像面临着更高的本底水平,尤其是与近水平μ 子通量相比。在本文中,作者提出了一种创新的技术,该技术基于硅光电倍增管阵列测量切伦科夫辐射,以便集成到用于 μ 子层析成像应用的标准望远镜中。通过使用 Geant4 模拟对宇宙射线μ 子的方向测量来完成了对该技术的可行性研究。由于反散射粒子的入射方向很可能被错误地重建,因此该技术对于抑制背景噪声特别有用,因为背景噪声主要来自反散射粒子。在对该技术原理进行验证研究期间获得的结果证实了能够以高于 1GeV 的效率区分μ 子的到达方向,效率高于 98%。此外,还介绍了对所提出的技术的跟踪性能的初步研究。

https://cdn.ncbi.nlm.nih.gov/pmc/blobs/1a48/6427707/7206523de92f/sensors-19-01183-g006.jpg
https://cdn.ncbi.nlm.nih.gov/pmc/blobs/1a48/6427707/e75349e652e1/sensors-19-01183-g001.jpg
https://cdn.ncbi.nlm.nih.gov/pmc/blobs/1a48/6427707/d40b9843bbf9/sensors-19-01183-g002.jpg
https://cdn.ncbi.nlm.nih.gov/pmc/blobs/1a48/6427707/9a2902cdc863/sensors-19-01183-g003.jpg
https://cdn.ncbi.nlm.nih.gov/pmc/blobs/1a48/6427707/c3bb37f011a9/sensors-19-01183-g004.jpg
https://cdn.ncbi.nlm.nih.gov/pmc/blobs/1a48/6427707/b8d24df72fbd/sensors-19-01183-g005.jpg
https://cdn.ncbi.nlm.nih.gov/pmc/blobs/1a48/6427707/7206523de92f/sensors-19-01183-g006.jpg
https://cdn.ncbi.nlm.nih.gov/pmc/blobs/1a48/6427707/e75349e652e1/sensors-19-01183-g001.jpg
https://cdn.ncbi.nlm.nih.gov/pmc/blobs/1a48/6427707/d40b9843bbf9/sensors-19-01183-g002.jpg
https://cdn.ncbi.nlm.nih.gov/pmc/blobs/1a48/6427707/9a2902cdc863/sensors-19-01183-g003.jpg
https://cdn.ncbi.nlm.nih.gov/pmc/blobs/1a48/6427707/c3bb37f011a9/sensors-19-01183-g004.jpg
https://cdn.ncbi.nlm.nih.gov/pmc/blobs/1a48/6427707/b8d24df72fbd/sensors-19-01183-g005.jpg
https://cdn.ncbi.nlm.nih.gov/pmc/blobs/1a48/6427707/7206523de92f/sensors-19-01183-g006.jpg

相似文献

1
Feasibility Study of a New Cherenkov Detector for Improving Volcano Muography.新型切伦科夫探测器提高火山μ 射线照相术可行性研究
Sensors (Basel). 2019 Mar 8;19(5):1183. doi: 10.3390/s19051183.
2
Proof-of-Principle of a Cherenkov-Tag Detector Prototype.切伦科夫标记探测器原型的原理验证
Sensors (Basel). 2020 Jun 18;20(12):3437. doi: 10.3390/s20123437.
3
Applications of muon absorption radiography to the fields of archaeology and civil engineering.μ子吸收射线照相术在考古学和土木工程领域的应用。
Philos Trans A Math Phys Eng Sci. 2018 Dec 10;377(2137):20180057. doi: 10.1098/rsta.2018.0057.
4
Principles and Perspectives of Radiographic Imaging with Muons.μ子射线成像的原理与展望
J Imaging. 2021 Nov 26;7(12):253. doi: 10.3390/jimaging7120253.
5
Muography applications developed by IFIN-HH.由罗马尼亚国家同位素与分子技术研究所开发的μ子成像应用。
Philos Trans A Math Phys Eng Sci. 2018 Dec 10;377(2137):20180137. doi: 10.1098/rsta.2018.0137.
6
Novel muon imaging techniques.新型μ子成像技术。
Philos Trans A Math Phys Eng Sci. 2018 Dec 10;377(2137):20180062. doi: 10.1098/rsta.2018.0062.
7
Imaging of underground cavities with cosmic-ray muons from observations at Mt. Echia (Naples).利用埃基亚山(那不勒斯)观测到的宇宙射线μ子对地下空洞进行成像。
Sci Rep. 2017 Apr 26;7(1):1181. doi: 10.1038/s41598-017-01277-3.
8
Volcanoes in Italy and the role of muon radiography.意大利的火山与μ子射线照相术的作用。
Philos Trans A Math Phys Eng Sci. 2018 Dec 10;377(2137):20180050. doi: 10.1098/rsta.2018.0050.
9
Fieldable muon spectrometer using multi-layer pressurized gas Cherenkov radiators and its applications.使用多层加压气体切伦科夫辐射器的便携式μ子谱仪及其应用
Sci Rep. 2022 Feb 15;12(1):2559. doi: 10.1038/s41598-022-06510-2.
10
3D Muography for the Search of Hidden Cavities.用于搜索隐藏空洞的三维μ射线成像技术。
Sci Rep. 2019 Feb 27;9(1):2974. doi: 10.1038/s41598-019-39682-5.

引用本文的文献

1
Proof-of-Principle of a Cherenkov-Tag Detector Prototype.切伦科夫标记探测器原型的原理验证
Sensors (Basel). 2020 Jun 18;20(12):3437. doi: 10.3390/s20123437.

本文引用的文献

1
Overview of muographers.乳腺造影仪概述。
Philos Trans A Math Phys Eng Sci. 2018 Dec 10;377(2137):20180143. doi: 10.1098/rsta.2018.0143.
2
High-definition and low-noise muography of the Sakurajima volcano with gaseous tracking detectors.利用气体跟踪探测器对樱岛火山进行高清低噪声μ成像。
Sci Rep. 2018 Feb 16;8(1):3207. doi: 10.1038/s41598-018-21423-9.
3
Discovery of a big void in Khufu's Pyramid by observation of cosmic-ray muons.通过观测宇宙射线μ子发现胡夫金字塔内的巨大空洞。
Nature. 2017 Dec 21;552(7685):386-390. doi: 10.1038/nature24647. Epub 2017 Nov 2.
4
Imaging of underground cavities with cosmic-ray muons from observations at Mt. Echia (Naples).利用埃基亚山(那不勒斯)观测到的宇宙射线μ子对地下空洞进行成像。
Sci Rep. 2017 Apr 26;7(1):1181. doi: 10.1038/s41598-017-01277-3.
5
Search for hidden chambers in the pyramids.探寻金字塔中的隐秘墓室。
Science. 1970 Feb 6;167(3919):832-9. doi: 10.1126/science.167.3919.832.