Suppr超能文献

湖相页岩的纳米孔隙结构与分形特征:对页岩气储存与生产潜力的启示

Nanopore Structure and Fractal Characteristics of Lacustrine Shale: Implications for Shale Gas Storage and Production Potential.

作者信息

Chen Lei, Jiang Zhenxue, Jiang Shu, Liu Keyu, Yang Wei, Tan Jingqiang, Gao Fenglin

机构信息

State Key Laboratory of Petroleum Resources and Prospecting, China University of Petroleum, Beijing 102249, China.

Unconventional Oil & Gas Cooperative Innovation Center, China University of Petroleum, Beijing 102249, China.

出版信息

Nanomaterials (Basel). 2019 Mar 7;9(3):390. doi: 10.3390/nano9030390.

Abstract

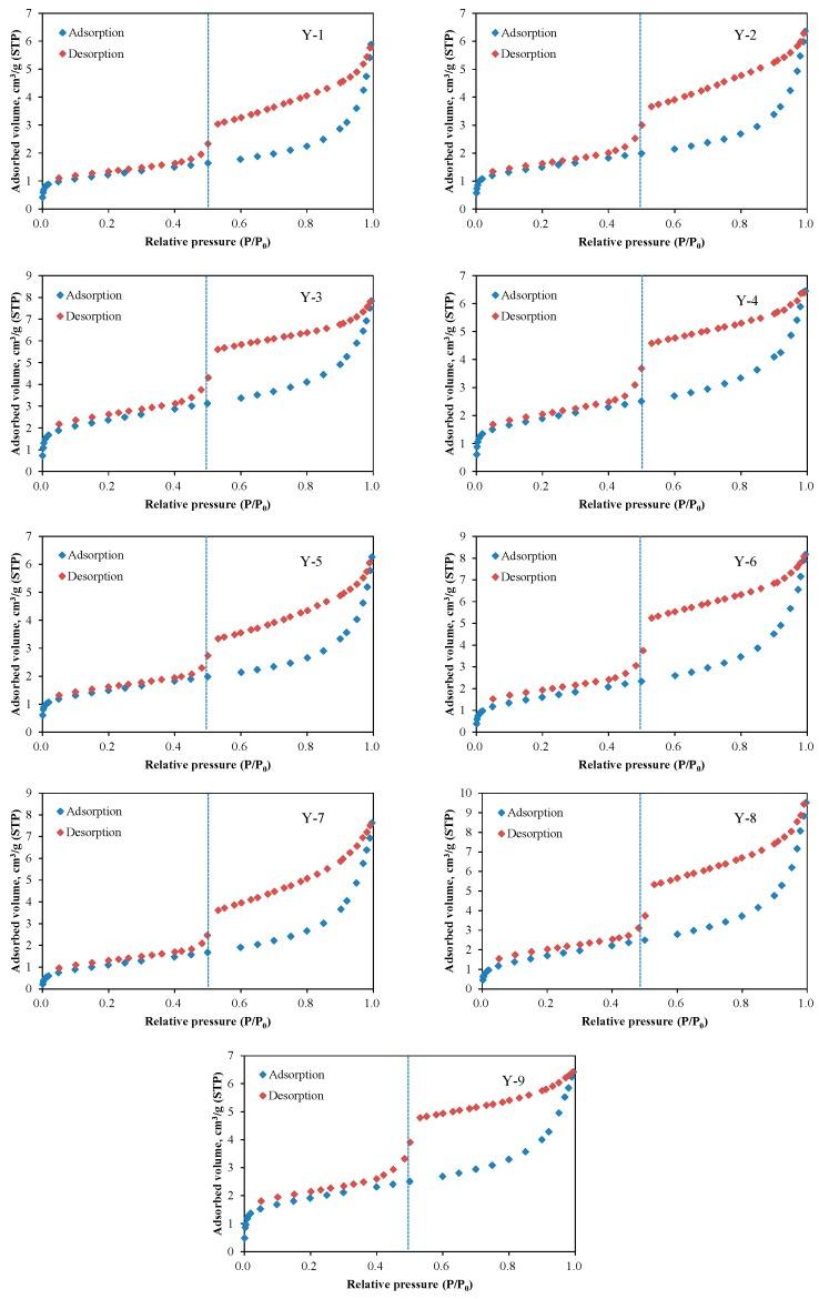
In order to better understand nanopore structure and fractal characteristics of lacustrine shale, nine shale samples from the Da'anzhai Member of Lower Jurassic Ziliujing Formation in the Sichuan Basin, southwestern (SW) China were investigated by total organic carbon (TOC) analysis, X-ray diffraction (XRD) analysis, field emission scanning electron microscopy (FE-SEM), and low-pressure N₂ adsorption. Two fractal dimensions D₁ and D₂ (at the relative pressure of 0⁻0.5 and 0.5⁻1, respectively) were calculated from N₂ adsorption isotherms using the Frenkel⁻Halsey⁻Hill (FHH) equation. The pore structure of the Lower Jurassic lacustrine shale was characterized, and the fractal characteristics and their controlling factors were investigated. Then the effect of fractal dimensions on shale gas storage and production potential was discussed. The results indicate that: (1) Pore types in shale are mainly organic-matter (OM) and interparticle (interP) pores, along with a small amount of intraparticle (intraP) pores, and that not all grains of OM have the same porosity. The Brunauer⁻Emmett⁻Teller (BET) surface areas of shale samples range from 4.10 to 8.38 m²/g, the density-functional-theory (DFT) pore volumes range from 0.0076 to 0.0128 cm³/g, and average pore diameters range from 5.56 to 10.48 nm. (2) The BET surface area shows a positive correlation with clay minerals content and quartz content, but no obvious relationship with TOC content. The DFT pore volume shows a positive correlation with TOC content and clay minerals content, but a negative relationship with quartz content. In addition, the average pore diameter shows a positive correlation with TOC content and a negative relationship with quartz content, but no obvious relationship with clay minerals content. (3) Fractal dimension D₁ is mainly closely associated with the specific surface area of shale, suggesting that D₁ may represent the pore surface fractal dimension. Whereas fractal dimension D₂ is sensitive to multiple parameters including the specific surface area, pore volume, and average pore diameter, suggesting that D₂ may represent the pore structure fractal dimension. (4) Shale with a large fractal dimension D₁ and a moderate fractal dimension D₂ has a strong capacity to store both adsorbed gas and free gas, and it also facilitates the exploitation and production of shale gas.

摘要

为了更好地了解湖相页岩的纳米孔隙结构和分形特征,对中国西南部四川盆地侏罗系自流井组大安寨段的9块页岩样品进行了总有机碳(TOC)分析、X射线衍射(XRD)分析、场发射扫描电子显微镜(FE-SEM)和低压N₂吸附测试。利用弗伦克尔-哈西-希尔(FHH)方程从N₂吸附等温线计算出两个分形维数D₁和D₂(分别在相对压力0⁻0.5和0.5⁻1下)。对侏罗系湖相页岩的孔隙结构进行了表征,并研究了其分形特征及其控制因素。然后讨论了分形维数对页岩气储存和生产潜力的影响。结果表明:(1)页岩中的孔隙类型主要为有机质(OM)孔和粒间(interP)孔,还有少量粒内(intraP)孔,且并非所有的OM颗粒都具有相同的孔隙率。页岩样品的布鲁诺尔-埃米特-泰勒(BET)表面积在4.10至8.38 m²/g之间,密度泛函理论(DFT)孔体积在0.0076至0.0128 cm³/g之间,平均孔径在5.56至10.48 nm之间。(2)BET表面积与粘土矿物含量和石英含量呈正相关,但与TOC含量无明显关系。DFT孔体积与TOC含量和粘土矿物含量呈正相关,但与石英含量呈负相关。此外,平均孔径与TOC含量呈正相关,与石英含量呈负相关,但与粘土矿物含量无明显关系。(3)分形维数D₁主要与页岩的比表面积密切相关,表明D₁可能代表孔隙表面分形维数。而分形维数D₂对包括比表面积、孔体积和平均孔径在内的多个参数敏感,表明D₂可能代表孔隙结构分形维数。(4)分形维数D₁大且分形维数D₂适中的页岩具有很强的吸附气和游离气储存能力,也有利于页岩气的开采和生产。

https://cdn.ncbi.nlm.nih.gov/pmc/blobs/b9d8/6474011/006096796d69/nanomaterials-09-00390-g001.jpg

文献检索

告别复杂PubMed语法,用中文像聊天一样搜索,搜遍4000万医学文献。AI智能推荐,让科研检索更轻松。

立即免费搜索

文件翻译

保留排版,准确专业,支持PDF/Word/PPT等文件格式,支持 12+语言互译。

免费翻译文档

深度研究

AI帮你快速写综述,25分钟生成高质量综述,智能提取关键信息,辅助科研写作。

立即免费体验