• 文献检索
  • 文档翻译
  • 深度研究
  • 学术资讯
  • Suppr Zotero 插件Zotero 插件
  • 邀请有礼
  • 套餐&价格
  • 历史记录
应用&插件
Suppr Zotero 插件Zotero 插件浏览器插件Mac 客户端Windows 客户端微信小程序
定价
高级版会员购买积分包购买API积分包
服务
文献检索文档翻译深度研究API 文档MCP 服务
关于我们
关于 Suppr公司介绍联系我们用户协议隐私条款
关注我们

Suppr 超能文献

核心技术专利:CN118964589B侵权必究
粤ICP备2023148730 号-1Suppr @ 2026

文献检索

告别复杂PubMed语法,用中文像聊天一样搜索,搜遍4000万医学文献。AI智能推荐,让科研检索更轻松。

立即免费搜索

文件翻译

保留排版,准确专业,支持PDF/Word/PPT等文件格式,支持 12+语言互译。

免费翻译文档

深度研究

AI帮你快速写综述,25分钟生成高质量综述,智能提取关键信息,辅助科研写作。

立即免费体验

特定事件空气质量改善对 COPD 患者总住院人数和全身炎症减少的影响。

Impacts of event-specific air quality improvements on total hospital admissions and reduced systemic inflammation in COPD patients.

机构信息

State Key Laboratory of Respiratory Disease, Guangzhou Institute of Respiratory Disease, The First Affiliated Hospital, Guangzhou Medical University, Guangzhou, Guangdong, P.R. China.

Division of Translational and Regenerative Medicine, Department of Medicine, The University of Arizona, Tucson, AZ, United States of America.

出版信息

PLoS One. 2019 Mar 20;14(3):e0208687. doi: 10.1371/journal.pone.0208687. eCollection 2019.

DOI:10.1371/journal.pone.0208687
PMID:30893301
原文链接:https://pmc.ncbi.nlm.nih.gov/articles/PMC6426198/
Abstract

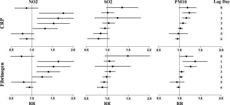
There is limited evidence linking the impacts of reduced air pollution on hospital admissions. The potential biological mechanisms are still not completely understood. This study examined the effects of mitigated ambient pollution on hospital admissions and inflammatory biomarker levels in chronic obstructive pulmonary disease (COPD) COPD patients. Daily hospital admissions were compared over 51 days associated with the Asian Games period (Nov 1-Dec 21, 2010) with the identical calendar dates of baseline years (2004-2009 and 2011-2013). A three-year cohort study was conducted with 36 COPD patient participants. The daily particulate matter (PM10) decreased from 65.86 μg/m3 during the baseline period to 62.63 μg/m3 during the Asian Games period; the daily NO2 level decreased from 51.33 μg/m3 to 42.63 μg/m3. Between the baseline period and the Asian Games, daily hospital admissions from non-accidental diseases decreased from 116 to 93, respectively; respiratory diseases decreased from 20 to 17, respectively; and cardiovascular diseases decreased from 11 to 9 during the Asian Games period, respectively. No statistically significant reductions were seen in the remaining months of 2010 in Guangzhou, during the the Asian Games period in the control city, and two other control diseases. Furthermore, we identified significant improvement in CRP and fibrinogen by -20.4% and -15.4% from a pre-Asian game period to a during-Asian game period, respectively. For CRP, we found significant increases in NO2 at lag1-3 days after-Asian game period and significant increases in PM10 at lag1-2 days. Similar effects were also seen with fibrinogen. This discovery provides support for efforts to diminish air pollution and improve public health through human air pollutants intervention. Improved air pollution during the 2010 Asian games was correlated with decreases in biomarkers associated with systemic inflammation in COPD patient participants.

摘要

目前,将空气污染减少对医院入院人数影响联系起来的证据有限。潜在的生物学机制仍不完全清楚。本研究调查了减轻环境污染物对慢性阻塞性肺疾病(COPD)COPD 患者入院人数和炎症生物标志物水平的影响。在与亚运会期间(2010 年 11 月 1 日至 12 月 21 日)相对应的 51 天内,将每日医院入院人数与基线年份(2004-2009 年和 2011-2013 年)相同的日历日期进行了比较。一项为期三年的队列研究纳入了 36 名 COPD 患者参与者。在基线期,每日颗粒物(PM10)从 65.86μg/m3降至亚运会期间的 62.63μg/m3;每日二氧化氮水平从 51.33μg/m3降至 42.63μg/m3。在基线期和亚运会期间,非意外疾病的每日入院人数分别从 116 人减少到 93 人,呼吸道疾病分别从 20 人减少到 17 人,心血管疾病分别从 11 人减少到 9 人。在广州其余月份 2010 年、亚运会期间的对照城市以及另外两种对照疾病中,没有观察到统计学上的显著减少。此外,我们发现,与赛前相比,赛中 CRP 和纤维蛋白原分别下降了 20.4%和 15.4%。对于 CRP,我们发现,在赛中后 1-3 天,NO2 的滞后时间有显著增加,在赛中后 1-2 天,PM10 的滞后时间有显著增加。纤维蛋白原也出现了类似的效果。这一发现为通过人为干预空气污染物来减少空气污染和改善公众健康的努力提供了支持。2010 年亚运会期间空气质量的改善与 COPD 患者参与者中与全身炎症相关的生物标志物的降低有关。

https://cdn.ncbi.nlm.nih.gov/pmc/blobs/2ede/6426198/7cc584697bfd/pone.0208687.g003.jpg
https://cdn.ncbi.nlm.nih.gov/pmc/blobs/2ede/6426198/48b06f28a11a/pone.0208687.g001.jpg
https://cdn.ncbi.nlm.nih.gov/pmc/blobs/2ede/6426198/60618e0846b6/pone.0208687.g002.jpg
https://cdn.ncbi.nlm.nih.gov/pmc/blobs/2ede/6426198/7cc584697bfd/pone.0208687.g003.jpg
https://cdn.ncbi.nlm.nih.gov/pmc/blobs/2ede/6426198/48b06f28a11a/pone.0208687.g001.jpg
https://cdn.ncbi.nlm.nih.gov/pmc/blobs/2ede/6426198/60618e0846b6/pone.0208687.g002.jpg
https://cdn.ncbi.nlm.nih.gov/pmc/blobs/2ede/6426198/7cc584697bfd/pone.0208687.g003.jpg

相似文献

1
Impacts of event-specific air quality improvements on total hospital admissions and reduced systemic inflammation in COPD patients.特定事件空气质量改善对 COPD 患者总住院人数和全身炎症减少的影响。
PLoS One. 2019 Mar 20;14(3):e0208687. doi: 10.1371/journal.pone.0208687. eCollection 2019.
2
Air quality improvement during 2010 Asian games on blood coagulability in COPD patients.2010年亚运会期间空气质量改善对慢性阻塞性肺疾病(COPD)患者血液凝固性的影响
Environ Sci Pollut Res Int. 2016 Apr;23(7):6631-8. doi: 10.1007/s11356-015-5871-y. Epub 2015 Dec 9.
3
Effects of short-term exposure to air pollution on hospital admissions of young children for acute lower respiratory infections in Ho Chi Minh City, Vietnam.越南胡志明市短期暴露于空气污染对幼儿急性下呼吸道感染住院率的影响。
Res Rep Health Eff Inst. 2012 Jun(169):5-72; discussion 73-83.
4
Ambient air pollutants relate to hospital admissions for chronic obstructive pulmonary disease in Ganzhou, China.大气污染物与中国赣州慢性阻塞性肺疾病住院的关系。
Rev Saude Publica. 2022 Jun 13;56:46. doi: 10.11606/s1518-8787.2022056004324. eCollection 2022.
5
Multicity study of air pollution and mortality in Latin America (the ESCALA study).拉丁美洲空气污染与死亡率的多城市研究(ESCALA研究)。
Res Rep Health Eff Inst. 2012 Oct(171):5-86.
6
[Meta-analysis of the Italian studies on short-term effects of air pollution].[意大利关于空气污染短期影响研究的荟萃分析]
Epidemiol Prev. 2001 Mar-Apr;25(2 Suppl):1-71.
7
Associations between air pollutants and hospital admissions for chronic obstructive pulmonary disease in Jinan: potential benefits from air quality improvements.空气污染与济南慢性阻塞性肺疾病住院的关联:空气质量改善的潜在益处。
Environ Sci Pollut Res Int. 2023 Apr;30(16):46435-46445. doi: 10.1007/s11356-023-25567-8. Epub 2023 Jan 31.
8
Part 4. Interaction between air pollution and respiratory viruses: time-series study of daily mortality and hospital admissions in Hong Kong.第4部分. 空气污染与呼吸道病毒之间的相互作用:香港每日死亡率和住院人数的时间序列研究。
Res Rep Health Eff Inst. 2010 Nov(154):283-362.
9
Part 2. Association of daily mortality with ambient air pollution, and effect modification by extremely high temperature in Wuhan, China.第二部分. 中国武汉每日死亡率与环境空气污染的关联以及极高温度的效应修正
Res Rep Health Eff Inst. 2010 Nov(154):91-217.
10
Part 1. A time-series study of ambient air pollution and daily mortality in Shanghai, China.第一部分. 中国上海环境空气污染与每日死亡率的时间序列研究。
Res Rep Health Eff Inst. 2010 Nov(154):17-78.

引用本文的文献

1
Study Protocol. Evaluating the life-course health impact of a city-wide system approach to improve air quality in Bradford, UK: A quasi-experimental study with implementation and process evaluation.研究方案。评估英国布拉德福德市改善空气质量的全市系统方法对生命历程健康的影响:一项具有实施和过程评估的准实验研究。
Environ Health. 2022 Dec 5;21(1):122. doi: 10.1186/s12940-022-00942-z.
2
The Effects of Fine Dust, Ozone, and Nitrogen Dioxide on Health.细颗粒物、臭氧和二氧化氮对健康的影响。
Dtsch Arztebl Int. 2019 Dec 23;51-52(51-52):881-886. doi: 10.3238/arztebl.2019.0881.

本文引用的文献

1
Air quality improvement during 2010 Asian games on blood coagulability in COPD patients.2010年亚运会期间空气质量改善对慢性阻塞性肺疾病(COPD)患者血液凝固性的影响
Environ Sci Pollut Res Int. 2016 Apr;23(7):6631-8. doi: 10.1007/s11356-015-5871-y. Epub 2015 Dec 9.
2
Study Design and Interim Outcomes of Guangzhou Institute of Respiratory Disease COPD Biobank.广州医科大学附属第一医院国家呼吸系统疾病临床医学研究中心慢性阻塞性肺疾病生物样本库的研究设计与中期结果
COPD. 2016;13(2):203-13. doi: 10.3109/15412555.2015.1069807. Epub 2015 Dec 1.
3
Differences in Birth Weight Associated with the 2008 Beijing Olympics Air Pollution Reduction: Results from a Natural Experiment.
与2008年北京奥运会空气污染减排相关的出生体重差异:一项自然实验的结果
Environ Health Perspect. 2015 Sep;123(9):880-7. doi: 10.1289/ehp.1408795. Epub 2015 Apr 28.
4
Impact of haze and air pollution-related hazards on hospital admissions in Guangzhou, China.中国广州雾霾及相关空气污染危害对医院入院人数的影响。
Environ Sci Pollut Res Int. 2014 Mar;21(6):4236-44. doi: 10.1007/s11356-013-2374-6. Epub 2013 Dec 5.
5
The association between ambient air pollution and daily mortality in Beijing after the 2008 olympics: a time series study.2008年奥运会后北京地区环境空气污染与每日死亡率之间的关联:一项时间序列研究
PLoS One. 2013 Oct 18;8(10):e76759. doi: 10.1371/journal.pone.0076759. eCollection 2013.
6
Effect of air pollution control on mortality and hospital admissions in Ireland.空气污染控制对爱尔兰死亡率和住院率的影响。
Res Rep Health Eff Inst. 2013 Jul(176):3-109.
7
Acute respiratory health effects of urban air pollutants in adults with different patterns of underlying respiratory disease.城市空气污染物对不同基础呼吸疾病模式的成年人的急性呼吸健康影响。
Swiss Med Wkly. 2012 Oct 9;142:w13681. doi: 10.4414/smw.2012.13681. eCollection 2012.
8
Effect of particulate matter air pollution on C-reactive protein: a review of epidemiologic studies.大气颗粒物污染对 C 反应蛋白的影响:流行病学研究综述。
Rev Environ Health. 2012;27(2-3):133-49. doi: 10.1515/reveh-2012-0012.
9
Outdoor air pollution and respiratory health in patients with COPD.室外空气污染与 COPD 患者的呼吸健康。
Thorax. 2011 Jul;66(7):591-6. doi: 10.1136/thx.2010.155358. Epub 2011 Apr 1.
10
An air filter intervention study of endothelial function among healthy adults in a woodsmoke-impacted community.一项在受木烟影响社区中针对健康成年人内皮功能的空气滤清器干预研究。
Am J Respir Crit Care Med. 2011 May 1;183(9):1222-30. doi: 10.1164/rccm.201010-1572OC. Epub 2011 Jan 21.