• 文献检索
  • 文档翻译
  • 深度研究
  • 学术资讯
  • Suppr Zotero 插件Zotero 插件
  • 邀请有礼
  • 套餐&价格
  • 历史记录
应用&插件
Suppr Zotero 插件Zotero 插件浏览器插件Mac 客户端Windows 客户端微信小程序
定价
高级版会员购买积分包购买API积分包
服务
文献检索文档翻译深度研究API 文档MCP 服务
关于我们
关于 Suppr公司介绍联系我们用户协议隐私条款
关注我们

Suppr 超能文献

核心技术专利:CN118964589B侵权必究
粤ICP备2023148730 号-1Suppr @ 2026

文献检索

告别复杂PubMed语法,用中文像聊天一样搜索,搜遍4000万医学文献。AI智能推荐,让科研检索更轻松。

立即免费搜索

文件翻译

保留排版,准确专业,支持PDF/Word/PPT等文件格式,支持 12+语言互译。

免费翻译文档

深度研究

AI帮你快速写综述,25分钟生成高质量综述,智能提取关键信息,辅助科研写作。

立即免费体验

通过 DNA 疫苗初免 MVA 加强型 C 亚群预防性疫苗在印度进行的 I 期临床试验中诱导和维持双功能(IFN-γ+IL-2+和 IL-2+TNF-α+)T 细胞应答。

Induction and maintenance of bi-functional (IFN-γ + IL-2+ and IL-2+ TNF-α+) T cell responses by DNA prime MVA boosted subtype C prophylactic vaccine tested in a Phase I trial in India.

机构信息

Department of HIV, National Institute for Research in Tuberculosis (Indian Council of Medical Research), Chennai, India.

International AIDS Vaccine Initiative, New Delhi, India.

出版信息

PLoS One. 2019 Mar 28;14(3):e0213911. doi: 10.1371/journal.pone.0213911. eCollection 2019.

DOI:10.1371/journal.pone.0213911
PMID:30921340
原文链接:https://pmc.ncbi.nlm.nih.gov/articles/PMC6438518/
Abstract

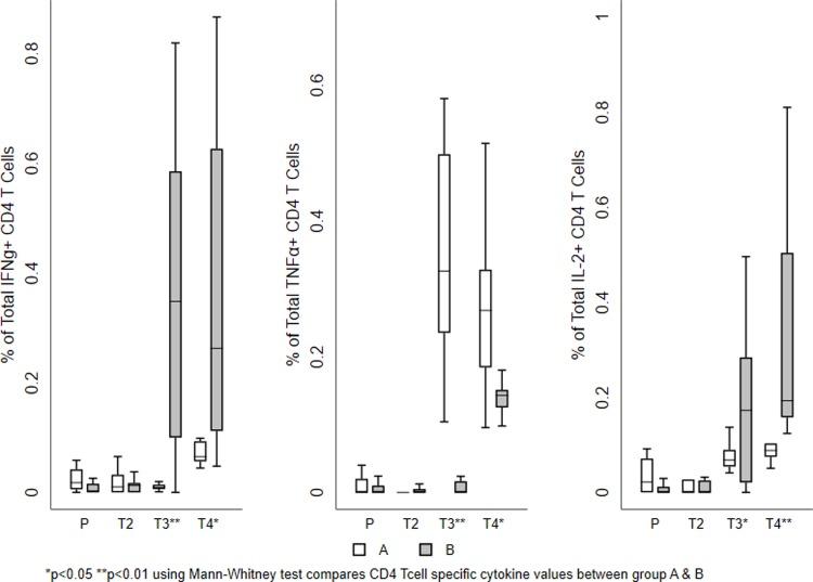
Effective vaccine design relies on accurate knowledge of protection against a pathogen, so as to be able to induce relevant and effective protective responses against it. An ideal Human Immunodeficiency virus (HIV) vaccine should induce humoral as well as cellular immune responses to prevent initial infection of host cells or limit early events of viral dissemination. A Phase I HIV-1 prophylactic vaccine trial sponsored by the International AIDS Vaccine Initiative (IAVI) was conducted in India in 2009.The trial tested a HIV-1 subtype C vaccine in a prime-boost regimen, comprising of a DNA prime (ADVAX) and Modified Vaccine Ankara (MVA) (TBC-M4) boost. The trial reported that the vaccine regimen was safe, well tolerated, and resulted in enhancement of HIV-specific immune responses. However, preliminary immunological studies were limited to vaccine-induced IFN-γ responses against the Env and Gag peptides. The present study is a retrospective study to characterize in detail the nature of the vaccine-induced cell mediated immune responses among volunteers, using Peripheral Blood Mononuclear Cells (PBMC) that were archived during the trial. ELISpot was used to measure IFN-γ responses and polyfunctional T cells were analyzed by intracellular multicolor flow cytometry. It was observed that DNA priming and MVA boosting induced Env and Gag specific bi-functional and multi-functional CD4+ and CD8+ T cells expressing IFN-γ, TNF-α and IL-2. The heterologous prime-boost regimen appeared to be slightly superior to the homologous prime-boost regimen in inducing favorable cell mediated immune responses. These results suggest that an in-depth analysis of vaccine-induced cellular immune response can aid in the identification of correlates of an effective immunogenic response, and inform future design of HIV vaccines.

摘要

有效的疫苗设计依赖于对病原体保护的准确认识,以便能够诱导针对该病原体的相关和有效的保护反应。理想的人类免疫缺陷病毒 (HIV) 疫苗应诱导体液和细胞免疫反应,以防止宿主细胞的初始感染或限制病毒传播的早期事件。国际艾滋病疫苗倡议 (IAVI) 于 2009 年在印度开展了一项 I 期 HIV-1 预防性疫苗试验。该试验在初免-加强方案中测试了一种 HIV-1 亚型 C 疫苗,包括 DNA 初免 (ADVAX) 和改良疫苗安卡拉 (MVA) (TBC-M4) 加强。该试验报告称,疫苗方案安全、耐受良好,并导致 HIV 特异性免疫反应增强。然而,初步免疫学研究仅限于疫苗诱导的针对Env 和 gag 肽的 IFN-γ 反应。本研究是一项回顾性研究,使用试验期间存档的外周血单核细胞 (PBMC),详细描述志愿者中疫苗诱导的细胞介导免疫反应的性质。ELISpot 用于测量 IFN-γ 反应,通过细胞内多色流式细胞术分析多功能 T 细胞。结果表明,DNA 初免和 MVA 加强诱导了表达 IFN-γ、TNF-α 和 IL-2 的 Env 和 gag 特异性双功能和多功能 CD4+和 CD8+T 细胞。异源初免-加强方案似乎比同源初免-加强方案在诱导有利的细胞介导免疫反应方面略具优势。这些结果表明,对疫苗诱导的细胞免疫反应进行深入分析有助于确定有效的免疫反应的相关性,并为未来 HIV 疫苗的设计提供信息。

https://cdn.ncbi.nlm.nih.gov/pmc/blobs/f629/6438518/523767d9c933/pone.0213911.g006.jpg
https://cdn.ncbi.nlm.nih.gov/pmc/blobs/f629/6438518/05779b912a1b/pone.0213911.g001.jpg
https://cdn.ncbi.nlm.nih.gov/pmc/blobs/f629/6438518/58e997412bd7/pone.0213911.g002.jpg
https://cdn.ncbi.nlm.nih.gov/pmc/blobs/f629/6438518/112930253d23/pone.0213911.g003.jpg
https://cdn.ncbi.nlm.nih.gov/pmc/blobs/f629/6438518/4821e4688b9b/pone.0213911.g004.jpg
https://cdn.ncbi.nlm.nih.gov/pmc/blobs/f629/6438518/2a6f255a1c8c/pone.0213911.g005.jpg
https://cdn.ncbi.nlm.nih.gov/pmc/blobs/f629/6438518/523767d9c933/pone.0213911.g006.jpg
https://cdn.ncbi.nlm.nih.gov/pmc/blobs/f629/6438518/05779b912a1b/pone.0213911.g001.jpg
https://cdn.ncbi.nlm.nih.gov/pmc/blobs/f629/6438518/58e997412bd7/pone.0213911.g002.jpg
https://cdn.ncbi.nlm.nih.gov/pmc/blobs/f629/6438518/112930253d23/pone.0213911.g003.jpg
https://cdn.ncbi.nlm.nih.gov/pmc/blobs/f629/6438518/4821e4688b9b/pone.0213911.g004.jpg
https://cdn.ncbi.nlm.nih.gov/pmc/blobs/f629/6438518/2a6f255a1c8c/pone.0213911.g005.jpg
https://cdn.ncbi.nlm.nih.gov/pmc/blobs/f629/6438518/523767d9c933/pone.0213911.g006.jpg

相似文献

1
Induction and maintenance of bi-functional (IFN-γ + IL-2+ and IL-2+ TNF-α+) T cell responses by DNA prime MVA boosted subtype C prophylactic vaccine tested in a Phase I trial in India.通过 DNA 疫苗初免 MVA 加强型 C 亚群预防性疫苗在印度进行的 I 期临床试验中诱导和维持双功能(IFN-γ+IL-2+和 IL-2+TNF-α+)T 细胞应答。
PLoS One. 2019 Mar 28;14(3):e0213911. doi: 10.1371/journal.pone.0213911. eCollection 2019.
2
Preferential Targeting of Conserved Gag Regions after Vaccination with a Heterologous DNA Prime-Modified Vaccinia Virus Ankara Boost HIV-1 Vaccine Regimen.用异源DNA初免-改良安卡拉痘苗病毒加强的HIV-1疫苗方案接种后对保守的Gag区域的优先靶向作用
J Virol. 2017 Aug 24;91(18). doi: 10.1128/JVI.00730-17. Print 2017 Sep 15.
3
Broad and potent immune responses to a low dose intradermal HIV-1 DNA boosted with HIV-1 recombinant MVA among healthy adults in Tanzania.在坦桑尼亚的健康成年人中,低剂量皮内 HIV-1 DNA 与 HIV-1 重组 MVA 联合免疫可引发广泛而有效的免疫应答。
Vaccine. 2011 Oct 26;29(46):8417-28. doi: 10.1016/j.vaccine.2011.08.001. Epub 2011 Aug 22.
4
HIV-DNA Given with or without Intradermal Electroporation Is Safe and Highly Immunogenic in Healthy Swedish HIV-1 DNA/MVA Vaccinees: A Phase I Randomized Trial.在健康的瑞典HIV-1 DNA/MVA疫苗接种者中,联合或不联合皮内电穿孔给予HIV-DNA是安全且具有高度免疫原性的:一项I期随机试验。
PLoS One. 2015 Jun 29;10(6):e0131748. doi: 10.1371/journal.pone.0131748. eCollection 2015.
5
Boosting with Subtype C CN54rgp140 Protein Adjuvanted with Glucopyranosyl Lipid Adjuvant after Priming with HIV-DNA and HIV-MVA Is Safe and Enhances Immune Responses: A Phase I Trial.在经HIV-DNA和HIV-MVA初免后,用葡萄糖吡喃糖基脂质佐剂辅助的C亚型CN54rgp140蛋白加强免疫是安全的且可增强免疫反应:一项I期试验。
PLoS One. 2016 May 18;11(5):e0155702. doi: 10.1371/journal.pone.0155702. eCollection 2016.
6
HIV-1 Subtype C Mosaic Gag Expressed by BCG and MVA Elicits Persistent Effector T Cell Responses in a Prime-Boost Regimen in Mice.卡介苗(BCG)和痘苗病毒 Ankara 株(MVA)表达的 HIV-1 C 亚型嵌合 gag 在小鼠的初免-加强免疫方案中引发持续的效应 T 细胞反应。
PLoS One. 2016 Jul 18;11(7):e0159141. doi: 10.1371/journal.pone.0159141. eCollection 2016.
7
Improving recombinant MVA immune responses: potentiation of the immune responses to HIV-1 with MVA and DNA vectors expressing Env and the cytokines IL-12 and IFN-gamma.增强重组痘苗病毒天坛株(MVA)免疫反应:利用表达Env以及细胞因子白细胞介素-12(IL-12)和干扰素-γ(IFN-γ)的MVA和DNA载体增强对HIV-1的免疫反应。
Virus Res. 2006 Mar;116(1-2):11-20. doi: 10.1016/j.virusres.2005.08.008. Epub 2005 Oct 7.
8
Safety and immunogenicity of DNA and MVA HIV-1 subtype C vaccine prime-boost regimens: a phase I randomised Trial in HIV-uninfected Indian volunteers.DNA 和 MVA HIV-1 亚型 C 疫苗初免-加强免疫方案的安全性和免疫原性:在 HIV 未感染者印度志愿者中进行的 I 期随机试验。
PLoS One. 2013;8(2):e55831. doi: 10.1371/journal.pone.0055831. Epub 2013 Feb 13.
9
Priming with a simplified intradermal HIV-1 DNA vaccine regimen followed by boosting with recombinant HIV-1 MVA vaccine is safe and immunogenic: a phase IIa randomized clinical trial.采用简化的皮内注射HIV-1 DNA疫苗方案进行初免,随后用重组HIV-1 MVA疫苗进行加强免疫是安全且具有免疫原性的:一项IIa期随机临床试验。
PLoS One. 2015 Apr 15;10(4):e0119629. doi: 10.1371/journal.pone.0119629. eCollection 2015.
10
Broad and potent cellular and humoral immune responses after a second late HIV-modified vaccinia virus ankara vaccination in HIV-DNA-primed and HIV-modified vaccinia virus Ankara-boosted Swedish vaccinees.在接受HIV-DNA初免和HIV修饰安卡拉痘苗病毒加强免疫的瑞典疫苗接种者中,第二次晚期HIV修饰安卡拉痘苗病毒疫苗接种后产生广泛且强效的细胞免疫和体液免疫反应。
AIDS Res Hum Retroviruses. 2014 Mar;30(3):299-311. doi: 10.1089/AID.2013.0149. Epub 2013 Nov 15.

引用本文的文献

1
Cellular Immune Response Induced by DNA Immunization of Mice with Drug Resistant Integrases of HIV-1 Clade A Offers Partial Protection against Growth and Metastatic Activity of Integrase-Expressing Adenocarcinoma Cells.用HIV-1 A亚型耐药整合酶对小鼠进行DNA免疫诱导的细胞免疫反应,对表达整合酶的腺癌细胞的生长和转移活性提供部分保护。
Microorganisms. 2021 Jun 4;9(6):1219. doi: 10.3390/microorganisms9061219.
2
Modulation of Cell Surface Receptor Expression by Modified Vaccinia Virus Ankara in Leukocytes of Healthy and HIV-Infected Individuals.修饰安卡拉痘苗病毒对健康个体和 HIV 感染者白细胞表面受体表达的调节作用。
Front Immunol. 2020 Sep 8;11:2096. doi: 10.3389/fimmu.2020.02096. eCollection 2020.
3

本文引用的文献

1
Induction of circulating T follicular helper cells and regulatory T cells correlating with HIV-1 gp120 variable loop antibodies by a subtype C prophylactic vaccine tested in a Phase I trial in India.诱导循环滤泡辅助 T 细胞和调节性 T 细胞与 HIV-1 gp120 可变环抗体相关,这是在印度进行的 I 期试验中测试的一种 C 型预防疫苗的结果。
PLoS One. 2018 Aug 29;13(8):e0203037. doi: 10.1371/journal.pone.0203037. eCollection 2018.
2
Follicular CD8 T cells accumulate in HIV infection and can kill infected cells in vitro via bispecific antibodies.滤泡性CD8 T细胞在HIV感染中会积聚,并且在体外可通过双特异性抗体杀死被感染的细胞。
Sci Transl Med. 2017 Jan 18;9(373). doi: 10.1126/scitranslmed.aag2285.
3
Evaluation of antiviral T cell responses and TSCM cells in volunteers enrolled in a phase I HIV-1 subtype C prophylactic vaccine trial in India.
评估在印度进行的 I 期 HIV-1 亚型 C 预防性疫苗试验中入组志愿者的抗病毒 T 细胞反应和 TSCM 细胞。
PLoS One. 2020 Feb 25;15(2):e0229461. doi: 10.1371/journal.pone.0229461. eCollection 2020.
Adenovirus-based HIV-1 vaccine candidates tested in efficacy trials elicit CD8+ T cells with limited breadth of HIV-1 inhibition.
在疗效试验中测试的基于腺病毒的HIV-1候选疫苗引发的CD8 + T细胞对HIV-1的抑制广度有限。
AIDS. 2016 Jul 17;30(11):1703-12. doi: 10.1097/QAD.0000000000001122.
4
A therapeutic HIV-1 vaccine enhances anti-HIV-1 immune responses in patients under highly active antiretroviral therapy.一种治疗性HIV-1疫苗可增强接受高效抗逆转录病毒治疗患者的抗HIV-1免疫反应。
Vaccine. 2016 Apr 27;34(19):2225-32. doi: 10.1016/j.vaccine.2016.03.021. Epub 2016 Mar 19.
5
HIV-specific CD8⁺ T cells and HIV eradication.HIV特异性CD8⁺ T细胞与HIV根除
J Clin Invest. 2016 Feb;126(2):455-63. doi: 10.1172/JCI80566. Epub 2016 Jan 5.
6
Pathogen-Specific T Cell Polyfunctionality Is a Correlate of T Cell Efficacy and Immune Protection.病原体特异性T细胞多功能性与T细胞效能及免疫保护相关。
PLoS One. 2015 Jun 5;10(6):e0128714. doi: 10.1371/journal.pone.0128714. eCollection 2015.
7
DNA vaccines, electroporation and their applications in cancer treatment.DNA疫苗、电穿孔及其在癌症治疗中的应用。
Hum Vaccin Immunother. 2015;11(8):1889-900. doi: 10.1080/21645515.2015.1035502.
8
Predicting the impact of CD8+ T cell polyfunctionality on HIV disease progression.预测CD8 + T细胞多功能性对HIV疾病进展的影响。
J Virol. 2014 Sep 1;88(17):10134-45. doi: 10.1128/JVI.00647-14. Epub 2014 Jun 25.
9
Immunogenicity and safety of a booster dose of an investigational adjuvanted polyprotein HIV-1 vaccine in healthy adults and effect of administration of chloroquine.一种研究性含佐剂多蛋白HIV-1疫苗加强剂量在健康成年人中的免疫原性和安全性以及氯喹给药的影响
Clin Vaccine Immunol. 2014 Mar;21(3):302-11. doi: 10.1128/CVI.00617-13. Epub 2014 Jan 3.
10
Preexisting high frequencies of memory CD8+ T cells favor rapid memory differentiation and preservation of proliferative potential upon boosting.预先存在的记忆性 CD8+ T 细胞高频度有利于在增强时快速进行记忆性分化和维持增殖潜能。
Immunity. 2013 Jul 25;39(1):171-83. doi: 10.1016/j.immuni.2013.07.003.