Szadkowski Bolesław, Marzec Anna, Rybiński Przemysław, Maniukiewicz Waldemar, Zaborski Marian
Institute of Polymer and Dye Technology, Faculty of Chemistry, Lodz University of Technology, Stefanowskiego 12/16, 90-924 Lodz, Poland.
Department of Environmental Protection and Modeling, The Jan Kochanowski University, Świętokrzyska 15, 25-406 Kielce, Poland.
Polymers (Basel). 2018 Dec 29;11(1):43. doi: 10.3390/polym11010043.
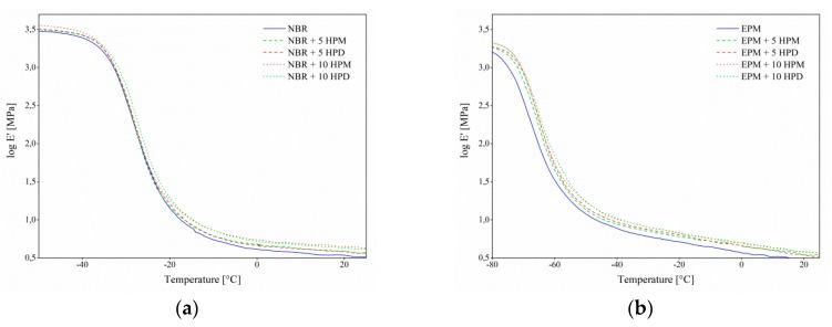
This study presents the preparation and characterization of new organic-inorganic pigments based on aluminum-magnesium hydroxycarbonate (LH) and azo dyes. Solvent resistance studies, XRD, SEM, and TGA confirmed the successful formation of hybrid pigments, which were characterized in terms of their physicochemical properties. The new hybrid pigments were applied in acrylonitrile-butadiene (NBR) and ethylene-propylene (EPM) rubber composites and cured with sulfur and peroxide curing systems, respectively. The mechanical properties, dispersion quality, and flame-retardant properties of the NBR/hybrid and EPM/hybrid pigment composites were determined by dynamic mechanical analysis (DMA), SEM, and microscale combustion calorimetry (MCC). Complex experimental investigations revealed that the layered nature of hybrid pigments could improve the barrier ability and flame retardancy of elastomer composites. In comparison to unmodified aluminum-magnesium hydroxycarbonate, the modified LH dye structures contributed to significantly decrease the heat release rate and the total heat release of the NBR and EPM composites, offering a new approach to imparting low flammability to elastomer materials.
本研究介绍了基于碱式碳酸铝镁(LH)和偶氮染料的新型有机-无机颜料的制备与表征。耐溶剂性研究、X射线衍射(XRD)、扫描电子显微镜(SEM)和热重分析(TGA)证实了杂化颜料的成功形成,并对其物理化学性质进行了表征。将新型杂化颜料应用于丙烯腈-丁二烯橡胶(NBR)和乙丙橡胶(EPM)复合材料中,并分别采用硫磺和过氧化物硫化体系进行硫化。通过动态力学分析(DMA)、SEM和微型燃烧量热法(MCC)测定了NBR/杂化颜料和EPM/杂化颜料复合材料的力学性能、分散质量和阻燃性能。复杂的实验研究表明,杂化颜料的层状结构可以提高弹性体复合材料的阻隔能力和阻燃性。与未改性的碱式碳酸铝镁相比,改性的LH染料结构有助于显著降低NBR和EPM复合材料的热释放速率和总热释放量,为赋予弹性体材料低易燃性提供了一种新方法。