Suppr超能文献

混合聚合物刷接枝纳米通道中的电渗流

Electroosmotic Flow in Mixed Polymer Brush-Grafted Nanochannels.

作者信息

Cao Qianqian, You Hao

机构信息

College of Mechanical and Electrical Engineering, Jiaxing University, Jiaxing 314001, China.

Center for Simulational Physics, Department of Physics and Astronomy, University of Georgia, Athens, GA 30602, USA.

出版信息

Polymers (Basel). 2016 Dec 16;8(12):438. doi: 10.3390/polym8120438.

Abstract

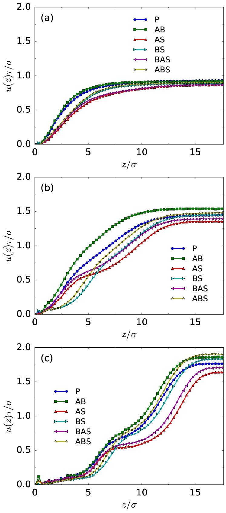
Mixed polymer brush-grafted nanochannels-where two distinct species of polymers are alternately grafted on the inner surface of nanochannels-are an interesting class of nanostructured hybrid materials. By using a coarse-grained molecular dynamics simulation method, we are able to simulate the electrokinetic transport dynamics of the fluid in such nanochannels as well as the conformational behaviors of the mixed polymer brush. We find that (1) the brush adopts vertically-layered and longitudinally-separated structures due to the coupling of electroosmotic flow (EOF) and applied electric field; (2) the solvent quality affects the brush conformations and the transport properties of the EOF; (3) the EOF flux non-monotonically depends on the grafting density, although the EOF velocity in the central region of the channel monotonically depends on the grafting density.

摘要

混合聚合物刷接枝纳米通道(即两种不同种类的聚合物交替接枝在纳米通道内表面)是一类有趣的纳米结构杂化材料。通过使用粗粒化分子动力学模拟方法,我们能够模拟此类纳米通道中流体的电动输运动力学以及混合聚合物刷的构象行为。我们发现:(1)由于电渗流(EOF)与外加电场的耦合,刷呈现出垂直分层和纵向分离的结构;(2)溶剂性质影响刷的构象和EOF的输运性质;(3)EOF通量非单调地依赖于接枝密度,尽管通道中心区域的EOF速度单调地依赖于接枝密度。

https://cdn.ncbi.nlm.nih.gov/pmc/blobs/2bf3/6431973/290fb132d39c/polymers-08-00438-g001.jpg

文献检索

告别复杂PubMed语法,用中文像聊天一样搜索,搜遍4000万医学文献。AI智能推荐,让科研检索更轻松。

立即免费搜索

文件翻译

保留排版,准确专业,支持PDF/Word/PPT等文件格式,支持 12+语言互译。

免费翻译文档

深度研究

AI帮你快速写综述,25分钟生成高质量综述,智能提取关键信息,辅助科研写作。

立即免费体验