Suppr超能文献

低剂量恒河猴挑战模型中腺病毒疫苗接种后对猴免疫缺陷病毒感染的易感性

Susceptibility to SIV Infection After Adenoviral Vaccination in a Low Dose Rhesus Macaque Challenge Model.

作者信息

Brody Irene Bukh, Calcedo Roberto, Connell Mary J, Carnathan Diane G, Nason Martha, Lawson Benton O, Nega Melon T, Boyd Surina, Qin Qiuyue, Vanderford Thomas H, Wilson Jolaine M, Wilson James M, Silvestri Guido, Betts Michael R

机构信息

Department of Microbiology; Perelman School of Medicine, University of Pennsylvania; Philadelphia, Pennsylvania.

Gene Therapy Program; Department of Medicine, Perelman School of Medicine, University of Pennsylvania; Philadelphia, Pennsylvania.

出版信息

Pathog Immun. 2019 Jan 29;4(1):1-20. doi: 10.20411/pai.v4i1.241. eCollection 2019.

Abstract

BACKGROUND

Vaccination with the Merck human adenovirus serotype-5 (HAdV-5) vectored HIV-1 subtype B gag/pol/nef vaccine was unexpectedly associated with enhanced susceptibility to HIV-1 infection in uncircumcised HAdV-5 seropositive men. It has been hypothesized that vaccination may have resulted in activated CD4+ T lymphocytes trafficking to mucosal sites thereby increasing targets for HIV infection. We have previously shown that AdV-vector vacci-nation in rhesus macaques resulted in an increase in the frequency of activated mucosal CD4+ T cells. However, whether this increase in activation is sufficient to increase susceptibility to HIV/SIV infection is unclear.

METHODS

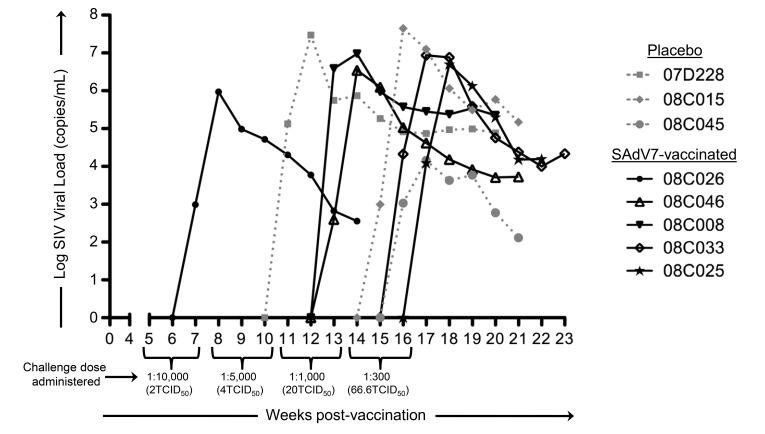
To examine this scenario, we developed a preliminary, proof-of-concept vaccination-challenge model in order to examine vaccine-induced SIV susceptibility in rhesus macaques. Rhesus macaques (n = 10/group) were vaccinated with a simian AdV-7 (SAdV-7)-vector encoding an irrelevant insert (SARS spike) and challenged 5 weeks post-prime in an escalating dosing regimen starting with sub-infectious doses (1:10,000 or 2TCID) of SIVmac251.

RESULTS

In contrast to our previous study, the SAdV-7 vaccine regimen did not induce detectable mucosal CD4+ T cell activation at the time points assessed in animals obtained from a different vendor and housed in a different facility. Within the power of the study, we did not observe significantly increased SIV acquisition in SAdV-7-vaccinated (5/10) versus placebo-vaccinated (3/10) macaques after repeated low-dose intra-rectal SIVmac251 challenge ( < 0.2).

CONCLUSIONS

These results lay groundwork for future experiments to assess vaccine-induced SIV susceptibility in rhesus macaques. Further larger-scale studies are necessary to confirm the AdV-vector vaccination associated trend towards increased SIV/HIV acquisition and clarify associated mechanisms.

摘要

背景

接种默克公司的5型人腺病毒(HAdV-5)载体的HIV-1 B亚型gag/pol/nef疫苗,出人意料地与未行包皮环切术的HAdV-5血清阳性男性对HIV-1感染的易感性增加有关。据推测,接种疫苗可能导致活化的CD4+ T淋巴细胞迁移至黏膜部位,从而增加了HIV感染的靶细胞。我们之前已表明,恒河猴接种腺病毒载体疫苗会导致活化的黏膜CD4+ T细胞频率增加。然而,这种活化增加是否足以增加对HIV/SIV感染的易感性尚不清楚。

方法

为了检验这种情况,我们建立了一个初步的概念验证性疫苗接种-攻毒模型,以研究恒河猴中疫苗诱导的对SIV的易感性。恒河猴(每组10只)接种编码无关插入片段(SARS刺突蛋白)的猿猴腺病毒7型(SAdV-7)载体,并在初次接种后5周,以递增剂量方案用亚感染剂量(1:10,000或2个组织培养感染剂量)的SIVmac251进行攻毒。

结果

与我们之前的研究相反,在从不同供应商处获得并饲养在不同设施中的动物所评估的时间点,SAdV-7疫苗方案未诱导出可检测到的黏膜CD4+ T细胞活化。在本研究的效能范围内,经反复低剂量直肠内给予SIVmac251攻毒后,我们未观察到接种SAdV-7的猕猴(5/10)相较于接种安慰剂的猕猴(3/10)感染SIV的情况有显著增加(<0.2)。

结论

这些结果为未来评估恒河猴中疫苗诱导的对SIV易感性的实验奠定了基础。需要进一步开展更大规模的研究,以确认腺病毒载体疫苗接种与SIV/HIV感染增加相关的趋势,并阐明相关机制。

https://cdn.ncbi.nlm.nih.gov/pmc/blobs/22bb/6457171/0c9f6166992a/pai-4-001-g001.jpg

文献AI研究员

20分钟写一篇综述,助力文献阅读效率提升50倍。

立即体验

用中文搜PubMed

大模型驱动的PubMed中文搜索引擎

马上搜索

文档翻译

学术文献翻译模型,支持多种主流文档格式。

立即体验