Suppr超能文献

基于大型中红外光谱数据库预测的牛奶详细蛋白质组成变化

Variation of Detailed Protein Composition of Cow Milk Predicted from a Large Database of Mid-Infrared Spectra.

作者信息

Franzoi Marco, Niero Giovanni, Visentin Giulio, Penasa Mauro, Cassandro Martino, De Marchi Massimo

机构信息

Department of Agronomy, Food, Natural Resources, Animals and Environment, University of Padova, Viale dell'Università 16, 35020 Legnaro (PD), Italy.

Associazione Nazionale Allevatori della Razza Frisona e Jersey Italiana, Via Bergamo 292, 26100 Cremona, Italy.

出版信息

Animals (Basel). 2019 Apr 18;9(4):176. doi: 10.3390/ani9040176.

Abstract

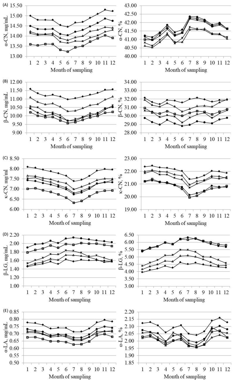
This study aimed to investigate factors affecting protein fractions, namely α-casein (α-CN), β-casein (β-CN), κ-casein (κ-CN), β-lactoglobulin (β-LG) and α-lactalbumin (α-LA) predicted from milk infrared spectra in milk of dairy and dual-purpose cattle breeds. The dataset comprised 735,328 observations from 49,049 cows in 1782 herds. Results highlighted significant differences of protein fractions in milk of the studied breeds. Significant variations of protein fractions were found also through parities and lactation, with the latter thoroughly influencing protein fractions percentage. Interesting correlations () were estimated between β-CN, κ-CN and β-LG, expressed as percentage of crude protein, and milk urea nitrogen ( = 0.31, -0.20 and -0.26, respectively) and between α-LA and fat percentage ( = 0.41). The present study paves the way for future studies on the associations between protein fractions and milk technological properties, and for the estimation of genetic parameters of predicted protein composition.

摘要

本研究旨在调查影响从奶牛和兼用型牛品种牛奶的红外光谱预测的蛋白质组分,即α-酪蛋白(α-CN)、β-酪蛋白(β-CN)、κ-酪蛋白(κ-CN)、β-乳球蛋白(β-LG)和α-乳白蛋白(α-LA)的因素。数据集包括来自1782个牛群中49049头奶牛的735328条观测数据。结果突出了所研究品种牛奶中蛋白质组分的显著差异。还发现蛋白质组分在胎次和泌乳期存在显著变化,泌乳期对蛋白质组分百分比有全面影响。估计了以粗蛋白百分比表示的β-CN、κ-CN和β-LG与牛奶尿素氮之间有趣的相关性(分别为r = 0.31、-0.20和-0.26),以及α-LA与脂肪百分比之间的相关性(r = 0.41)。本研究为未来关于蛋白质组分与牛奶工艺特性之间关联的研究以及预测蛋白质组成的遗传参数估计铺平了道路。

https://cdn.ncbi.nlm.nih.gov/pmc/blobs/0a8c/6523433/cc66af43d0e3/animals-09-00176-g001.jpg

文献检索

告别复杂PubMed语法,用中文像聊天一样搜索,搜遍4000万医学文献。AI智能推荐,让科研检索更轻松。

立即免费搜索

文件翻译

保留排版,准确专业,支持PDF/Word/PPT等文件格式,支持 12+语言互译。

免费翻译文档

深度研究

AI帮你快速写综述,25分钟生成高质量综述,智能提取关键信息,辅助科研写作。

立即免费体验