Suppr超能文献

术前中性粒细胞与淋巴细胞比值对手术切除的胃肠道间质瘤的预后影响

Prognostic impact of preoperative neutrophil-lymphocyte ratio for surgically resected gastrointestinal stromal tumors.

作者信息

Yang Jing, Gu YuanHui, Huang XianBin, Xu JiaYu, Zhang Yan, Yang XiaoJun, Tian HongWei, Zhan WeiPeng

机构信息

Department of the First General Surgery, Gansu Provincial Hospital, Lanzhou, Gansu, China.

出版信息

Medicine (Baltimore). 2019 Apr;98(16):e15319. doi: 10.1097/MD.0000000000015319.

Abstract

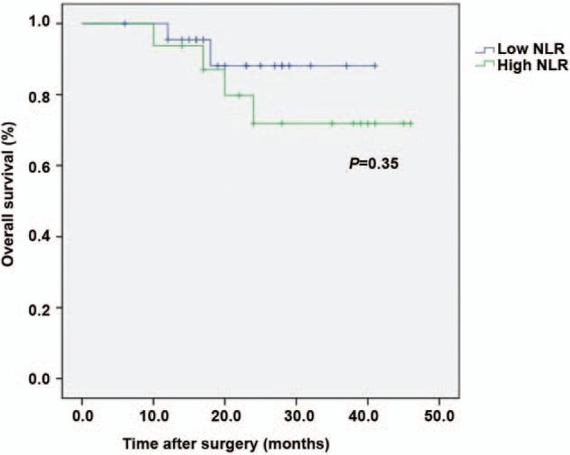
Neutrophil-lymphocyte ratio (NLR) was shown to be prognostic value in various malignancies. There are limited data about predictive or prognostic role of NLR during gastrointestinal stromal tumors (GISTs) patients. This study evaluated the prognostic significance of preoperative NLR in patients with GIST.We retrospectively enrolled 72 primary GIST patients who received initial curative surgical resection with or without adjuvant imatinib therapy. The preoperative NLR in the peripheral blood was calculated. Univariate and multivariate Cox proportional hazard regression models were used to identify potential predictors of tumor outcomes.The NLR cut-off value of 4.18 was selected. Multivariate analysis revealed that high NLR was associated with a unfavorable prognosis of GISTs (P < .05). Tumor size, tumor location, and age were significantly correlated with the NLR (P < .05).High NLR was an unfavorable prognostic factor of overall survival in GISTs and may be a useful preoperative biomarker of the prognosis of GISTs.

摘要

中性粒细胞与淋巴细胞比值(NLR)在多种恶性肿瘤中显示出预后价值。关于NLR在胃肠道间质瘤(GISTs)患者中的预测或预后作用的数据有限。本研究评估了术前NLR在GIST患者中的预后意义。我们回顾性纳入了72例接受了初次根治性手术切除(无论是否接受辅助伊马替尼治疗)的原发性GIST患者。计算外周血中的术前NLR。采用单因素和多因素Cox比例风险回归模型来确定肿瘤预后的潜在预测因素。选择NLR临界值为4.18。多因素分析显示,高NLR与GISTs的不良预后相关(P<0.05)。肿瘤大小、肿瘤位置和年龄与NLR显著相关(P<0.05)。高NLR是GISTs总生存的不良预后因素,可能是GISTs预后的一个有用的术前生物标志物。

https://cdn.ncbi.nlm.nih.gov/pmc/blobs/cbdd/6494246/704118cc72cb/medi-98-e15319-g001.jpg

文献检索

告别复杂PubMed语法,用中文像聊天一样搜索,搜遍4000万医学文献。AI智能推荐,让科研检索更轻松。

立即免费搜索

文件翻译

保留排版,准确专业,支持PDF/Word/PPT等文件格式,支持 12+语言互译。

免费翻译文档

深度研究

AI帮你快速写综述,25分钟生成高质量综述,智能提取关键信息,辅助科研写作。

立即免费体验