Suppr超能文献

一大群急性淋巴细胞白血病患儿的静脉血栓栓塞:危险因素及对预后的影响。

Venous thromboembolism in a large cohort of children with acute lymphoblastic leukemia: Risk factors and effect on prognosis.

作者信息

Klaassen Irene L M, Lauw Mandy N, Fiocco Marta, van der Sluis Inge M, Pieters Rob, Middeldorp Saskia, van de Wetering Marianne D, de Groot-Kruseman Hester A, van Ommen C Heleen

机构信息

Department of Pediatric Hematology Academic Medical Center Amsterdam the Netherlands.

Department of Vascular Medicine Academic Medical Center Amsterdam the Netherlands.

出版信息

Res Pract Thromb Haemost. 2019 Feb 27;3(2):234-241. doi: 10.1002/rth2.12182. eCollection 2019 Apr.

Abstract

BACKGROUND

Venous thromboembolism (VTE) is relatively common in children with acute lymphoblastic leukemia (ALL). Thrombotic risk factors in ALL are asparaginase and steroids. However, within the ALL populations treated on the same regimen, it is less clear which other risk factors play a role. Furthermore, few data are available on the effect of VTE on ALL outcomes.

METHODS

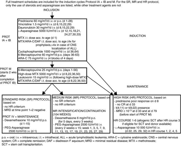
In 778 children (1-18 years) with newly diagnosed precursor-B-lineage or T-lineage ALL, treated in the Dutch Childhood Oncology Group (DCOG) ALL-10 protocol in the Netherlands (October 2004 to April 2013), we conducted a nested case control study with 59 VTE cases and 118 controls to identify risk factors for VTE.

RESULTS

Fifty-nine of 778 ALL patients developed VTE (7.6%), with cerebral venous sinus thrombosis (CVST) in 26 of 59 patients (44.1%). VTE occurred during induction treatment in 59.3% (n = 35) and in 40.7% (n = 24) during medium risk intensification. Conditional multivariable logistic regression analysis showed that age and ALL subtype were significantly associated with VTE (age ≥7 years: OR 2.72, 95% CI 1.33-5.57; ALL subtype T-ALL: OR 2.95, 95% CI 1.02-8.57). A multivariable Cox model showed no association between the occurrence of VTE and event free survival. In CVST patients, permanent disability was present in 34.6%.

CONCLUSION

Within this large pediatric ALL cohort, we demonstrated a high morbidity in CVST patients. Age ≥7 years at diagnosis and T-ALL subtype were the main risk factors for VTE, and should be considered in preventive strategies.

摘要

背景

静脉血栓栓塞症(VTE)在急性淋巴细胞白血病(ALL)患儿中相对常见。ALL中的血栓形成危险因素是天冬酰胺酶和类固醇。然而,在接受相同治疗方案的ALL人群中,其他哪些危险因素起作用尚不清楚。此外,关于VTE对ALL结局影响的数据很少。

方法

在荷兰儿童肿瘤学组(DCOG)ALL - 10方案(2004年10月至2013年4月)中接受治疗的778例新诊断的前体B系或T系ALL患儿(1 - 18岁)中,我们进行了一项巢式病例对照研究,纳入59例VTE病例和118例对照,以确定VTE的危险因素。

结果

778例ALL患者中有59例发生VTE(7.6%),59例患者中有26例(44.1%)发生脑静脉窦血栓形成(CVST)。59.3%(n = 35)的VTE发生在诱导治疗期间,40.7%(n = 24)发生在中危强化治疗期间。条件多变量逻辑回归分析显示,年龄和ALL亚型与VTE显著相关(年龄≥7岁:OR 2.72,95% CI 1.33 - 5.57;ALL亚型T - ALL:OR 2.95,95% CI 1.02 - 8.57)。多变量Cox模型显示VTE的发生与无事件生存期之间无关联。在CVST患者中,34.6%存在永久性残疾。

结论

在这个大型儿科ALL队列中,我们证明了CVST患者的高发病率。诊断时年龄≥7岁和T - ALL亚型是VTE的主要危险因素,应在预防策略中予以考虑。

https://cdn.ncbi.nlm.nih.gov/pmc/blobs/d2d5/6462738/c2faa5fec9d6/RTH2-3-234-g001.jpg

文献AI研究员

20分钟写一篇综述,助力文献阅读效率提升50倍。

立即体验

用中文搜PubMed

大模型驱动的PubMed中文搜索引擎

马上搜索

文档翻译

学术文献翻译模型,支持多种主流文档格式。

立即体验