Suppr超能文献

血小板计数可预测缺血性中风或短暂性脑缺血发作后的不良临床结局:中国国家卒中登记研究(CNSR II)的亚组分析

Platelet Count Predicts Adverse Clinical Outcomes After Ischemic Stroke or TIA: Subgroup Analysis of CNSR II.

作者信息

Yang Ming, Pan Yuesong, Li Zixiao, Yan Hongyi, Zhao Xingquan, Liu Liping, Jing Jing, Meng Xia, Wang Yilong, Wang Yongjun

机构信息

Department of Neurology, Beijing Tiantan Hospital, Capital Medical University, Fengtai District, China.

China National Clinical Research Center for Neurological Diseases, Beijing, China.

出版信息

Front Neurol. 2019 Apr 12;10:370. doi: 10.3389/fneur.2019.00370. eCollection 2019.

Abstract

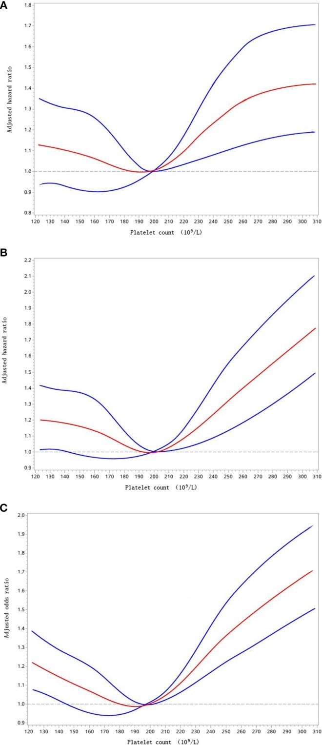
The clinical significance of platelet count (PC) for ischemic cerebrovascular disease is not well-established and further risk stratification according to baseline PC within normal range has not been reported before. We aim to evaluate the prognostic effect of baseline circulating PC within normal range on the risk of long-term recurrent stroke, mortality and functional outcomes after ischemic stroke or TIA. We derived data from eligible patients with ischemic stroke or TIA from the China National Stroke Registry (CNSR) II. Participants were divided into quintiles according to baseline PC within normal range (100-450 × 10/L). Multivariable cox regression and logistic regression were adopted to explore the correlation of baseline PC with recurrent stroke, mortality and poor functional outcomes (modified Rankin Scale 3~6) within 1-year follow-up. Among the16842 eligible participants, the average age was 64.7 ± 11.9, 1,241 (7.4%) had recurrent stroke, 1,377 (8.2%) died, and 3,557 (21.1%) ended up with poor functional outcomes after 1-year follow-up. Compared with the third PC quintile (186-212 × 10/L), patients in the top quintile (249-450 × 10/L) presented with increased risk of recurrent stroke (adjusted hazard ratio 1.21, [1.02-1.45]), all-cause mortality (adjusted hazard ratio 1.43, [1.19-1.73]), and poor functional outcome (adjusted odds ratio 1.49, [1.28-1.74]), while patients in the lowest PC quintile(100-155 × 10/L) had higher risk of poor functional outcome (adjusted odds ratio 1.19, [1.02-1.38]). In ischemic stroke or TIA patients with platelet count within normal range, platelet count may be a qualified predictor for long-term recurrent stroke, mortality, and poor functional outcome.

摘要

血小板计数(PC)对缺血性脑血管疾病的临床意义尚未完全明确,此前也未见根据正常范围内的基线PC进行进一步风险分层的报道。我们旨在评估正常范围内的基线循环PC对缺血性卒中或短暂性脑缺血发作(TIA)后长期复发性卒中风险、死亡率及功能结局的预后影响。我们从中国国家卒中登记(CNSR)II中符合条件的缺血性卒中和TIA患者中提取数据。根据正常范围内的基线PC(100 - 450×10⁹/L)将参与者分为五等份。采用多变量Cox回归和逻辑回归来探讨基线PC与1年随访内复发性卒中、死亡率及不良功能结局(改良Rankin量表3 - 6级)之间的相关性。在16842名符合条件的参与者中,平均年龄为64.7±11.9岁,1241人(7.4%)发生复发性卒中,13

https://cdn.ncbi.nlm.nih.gov/pmc/blobs/2fd9/6473473/b3c7917775bd/fneur-10-00370-g0001.jpg

文献检索

告别复杂PubMed语法,用中文像聊天一样搜索,搜遍4000万医学文献。AI智能推荐,让科研检索更轻松。

立即免费搜索

文件翻译

保留排版,准确专业,支持PDF/Word/PPT等文件格式,支持 12+语言互译。

免费翻译文档

深度研究

AI帮你快速写综述,25分钟生成高质量综述,智能提取关键信息,辅助科研写作。

立即免费体验