Suppr超能文献

既往感染伯氏疟原虫可使小鼠对刚地弓形虫感染产生抗性。

Previous Infection with Plasmodium berghei Confers Resistance to Toxoplasma gondii Infection in Mice.

作者信息

Lee Dong-Hun, Chu Ki-Back, Kang Hae-Ji, Lee Su-Hwa, Quan Fu-Shi

机构信息

Department of Biomedical Science, Graduate School, Kyung Hee University, Seoul 02447, Korea.

Department of Medical Zoology, Kyung Hee University School of Medicine, Seoul 02447, Korea.

出版信息

Korean J Parasitol. 2019 Apr;57(2):93-99. doi: 10.3347/kjp.2019.57.2.93. Epub 2019 Apr 30.

Abstract

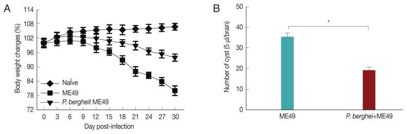
Both Plasmodium spp. and Toxoplasma gondii are important apicomplexan parasites, which infect humans worldwide. Genetic analyses have revealed that 33% of amino acid sequences of inner membrane complex from the malaria parasite Plasmodium berghei is similar to that of Toxoplasma gondii. Inner membrane complex is known to be involved in cell invasion and replication. In this study, we investigated the resistance against T. gondii (ME49) infection induced by previously infected P. berghei (ANKA) in mice. Levels of T. gondii-specific IgG, IgG1, IgG2a, and IgG2b antibody responses, CD4+ and CD8+ T cell populations were found higher in the mice infected with P. berghei (ANKA) and challenged with T. gondii (ME49) compared to that in control mice infected with T. gondii alone (ME49). P. berghei (ANKA) + T. gondii (ME49) group showed significantly reduced the number and size of T. gondii (ME49) cysts in the brains of mice, resulting in lower body weight loss compared to ME49 control group. These results indicate that previous exposure to P. berghei (ANKA) induce resistance to subsequent T. gondii (ME49) infection.

摘要

疟原虫属和刚地弓形虫都是重要的顶复门寄生虫,在全球范围内感染人类。基因分析显示,疟原虫伯氏疟原虫内膜复合物的33%氨基酸序列与刚地弓形虫的相似。已知内膜复合物参与细胞入侵和复制。在本研究中,我们调查了先前感染伯氏疟原虫(ANKA)的小鼠对随后感染刚地弓形虫(ME49)的抵抗力。与仅感染刚地弓形虫(ME49)的对照小鼠相比,感染伯氏疟原虫(ANKA)并受到刚地弓形虫(ME49)攻击的小鼠中,刚地弓形虫特异性IgG、IgG1、IgG2a和IgG2b抗体反应水平、CD4+和CD8+T细胞群体更高。伯氏疟原虫(ANKA)+刚地弓形虫(ME49)组小鼠脑中刚地弓形虫(ME49)囊肿的数量和大小显著减少,与ME49对照组相比,体重减轻更低。这些结果表明,先前接触伯氏疟原虫(ANKA)可诱导对随后刚地弓形虫(ME49)感染的抵抗力。

https://cdn.ncbi.nlm.nih.gov/pmc/blobs/2527/6526213/8c8bf6693d1a/kjp-57-2-93f1.jpg

文献AI研究员

20分钟写一篇综述,助力文献阅读效率提升50倍。

立即体验

用中文搜PubMed

大模型驱动的PubMed中文搜索引擎

马上搜索

文档翻译

学术文献翻译模型,支持多种主流文档格式。

立即体验