Suppr超能文献

氯化钠溶液对正常固结黏土体积变形和渗透性影响的解释

Explanation of the Influence of Sodium Chloride Solution on Volume Deformation and Permeability of Normally Consolidated Clays.

作者信息

Zhang Tongwei, Wang Shijun

机构信息

School of Civil Engineering and Mechanics, Lanzhou University, Tianshui Road 222, Lan Zhou 730000, China.

Key Laboratory of Mechanics on Disaster and Environment in Western China, Lanzhou University, Tianshui Road 222, Lan Zhou 730000, China.

出版信息

Materials (Basel). 2019 May 22;12(10):1671. doi: 10.3390/ma12101671.

Abstract

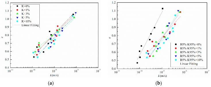
The marine clays located in the Southeast area of China are characterized by their higher water content, higher compressibility and higher salinities. This soil is mainly composed of illite/montmorillonite interlayer minerals. Previous research has shown that the saline water significantly influences the liquid limit and other physical characteristics of the clays. As the desalination of pore water occurs as a result of freshwater or rainfalls, the physical and mechanical behaviors of the soft marine clays changes, and this can lead to potential hazards for infrastructure. Therefore, it is essential to understand the effects of chemistry variations and to predict the long-term foundation deformations. Based on previous works, the deformation behavior of artificial soils corresponding to a mixture of kaolinite and bentonite (the mass ratios of bentonite were 0%, 5%, 10% and 20%) was further discussed in a ln(1 + )-log system. The permeabilities of the samples mixed with different concentrations of sodium chloride solutions were compared based on oedometer tests. The micro-structures in the samples were investigated by SEM (scanning electronic microscopy) tests. The declining trend of a newly defined volume compression index and swelling index with pore water salinity and / was observed when the initial void ratios of the samples were close. The permeability coefficient and the slopes = /log of the mixtures increased with the ionic concentrations. Finally, the changes in volume deformations and permeabilities induced by sodium chloride solution are discussed based on 'suction pressure' and initial void compression at micro-level. This paper proves that the influences of salinity on the mechanical behavior of clays are mainly attributable to the interaction between diffused double layers, and these findings are helpful for improving the constitutive model of soft clays when taking pore water chemistry changes into consideration.

摘要

中国东南部地区的海相黏土具有含水量高、压缩性高和盐度高的特点。这种土主要由伊利石/蒙脱石层间矿物组成。先前的研究表明,盐水对黏土的液限及其他物理特性有显著影响。由于淡水或降雨导致孔隙水脱盐,软海相黏土的物理和力学行为会发生变化,这可能会对基础设施造成潜在危害。因此,了解化学变化的影响并预测长期的地基变形至关重要。基于先前的研究成果,在ln(1 + )-log体系中进一步探讨了对应于高岭土和膨润土混合物(膨润土质量比分别为0%、5%、10%和20%)的人工土的变形行为。基于固结试验比较了不同浓度氯化钠溶液混合样品的渗透率。通过扫描电子显微镜(SEM)试验研究了样品中的微观结构。当样品的初始孔隙比相近时,观察到新定义的体积压缩指数和膨胀指数随孔隙水盐度和/的下降趋势。混合物的渗透系数和斜率 = /log随离子浓度增加。最后,基于微观层面的“吸力”和初始孔隙压缩,讨论了氯化钠溶液引起的体积变形和渗透率变化。本文证明了盐度对黏土力学行为的影响主要归因于扩散双电层之间的相互作用,这些研究结果有助于在考虑孔隙水化学变化时改进软黏土的本构模型。

https://cdn.ncbi.nlm.nih.gov/pmc/blobs/7786/6567269/463d827ff5ac/materials-12-01671-g001.jpg

文献检索

告别复杂PubMed语法,用中文像聊天一样搜索,搜遍4000万医学文献。AI智能推荐,让科研检索更轻松。

立即免费搜索

文件翻译

保留排版,准确专业,支持PDF/Word/PPT等文件格式,支持 12+语言互译。

免费翻译文档

深度研究

AI帮你快速写综述,25分钟生成高质量综述,智能提取关键信息,辅助科研写作。

立即免费体验