Zhang Juyang, Wolf Bettina
Division of Food Sciences, School of Biosciences, University of Nottingham, Sutton Bonington Campus, Loughborough LE12 5RD, UK.
Foods. 2019 Jun 3;8(6):192. doi: 10.3390/foods8060192.
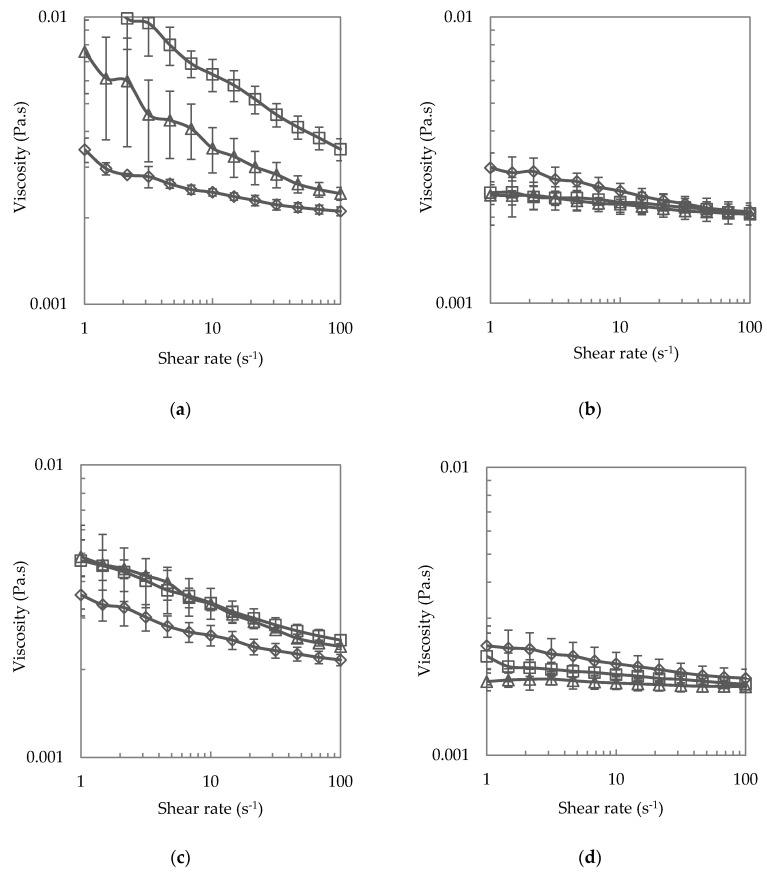
Polysaccharides and proteins are frequently conjugated through electrostatic attraction, enzymatic cross-linking, and heat treatment (Maillard reaction) to obtain food structuring ingredients, mostly for their application as emulsifiers. The conjugate partners and their interaction type affect performance at acidic or neutral pH and during thermal processing, thus requiring careful selection. Here, the aggregate properties (particle size, conjugate charge, shear viscosity) of three types of sugar beet pectin (SBP)-sodium caseinate (SC) 1:1 conjugates, at acidic and neutral pH (4.5; 7), as well as their thermal processing stability (80 °C), were investigated. The enzymatically cross-linked SBP:SC was more acid tolerant than the electrostatically interacting conjugates. Maillard cross-linked conjugates aggregated at pH 4.5, suggesting poor emulsifier performance in acidic conditions. At pH 7, the three conjugate types showed similar aggregate properties. The results are discussed in terms of structural re-arrangement.
多糖和蛋白质常常通过静电吸引、酶交联和热处理(美拉德反应)进行共轭结合,以获得食品结构成分,主要用作乳化剂。共轭结合的伙伴及其相互作用类型会影响在酸性或中性pH值以及热加工过程中的性能,因此需要仔细选择。在此,研究了三种类型的甜菜果胶(SBP)-酪蛋白酸钠(SC)1:1共轭物在酸性和中性pH值(4.5;7)下的聚集特性(粒径、共轭电荷、剪切粘度),以及它们在热加工(80°C)时的稳定性。酶交联的SBP:SC比静电相互作用的共轭物更耐酸。美拉德交联共轭物在pH 4.5时聚集,表明在酸性条件下乳化剂性能较差。在pH 7时,三种共轭物类型表现出相似的聚集特性。从结构重排的角度对结果进行了讨论。