Suppr超能文献

结直肠癌患者血清维生素D(1,25(OH)D)和内源性性激素水平的前瞻性评估

A Prospective Evaluation of Serum Vitamin D (1, 25(OH) D) and Endogenous Sex Hormone Levels in Colorectal Cancer Patients.

作者信息

Razak Suhail, Alam Iftikhar, Afsar Tayyaba, Abulmeaty Mahmoud M A, Almajwal Ali, Jahan Sarwat

机构信息

Department of Community Health Sciences, College of Applied Medical Sciences, King Saud University, Riyadh, Saudi Arabia.

Department of Animal Sciences, Quaid-i-Azam University, Islamabad, Pakistan.

出版信息

Front Oncol. 2019 Jun 4;9:468. doi: 10.3389/fonc.2019.00468. eCollection 2019.

Abstract

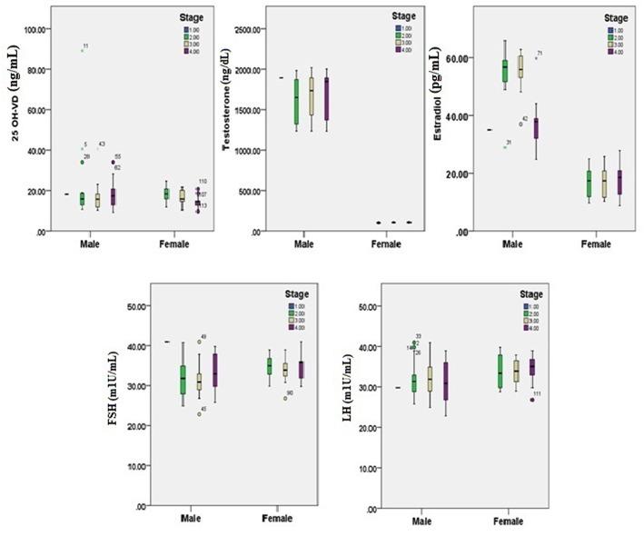
Data on 25-OH VD concentrations and the associated factors in colorectal cancer (CRC) patients are scarce and need to be investigated. A total of 200 CRC patients participated in this cross-sectional study conducted in Pakistan. Socio-demographic and other health data were collected in a pretested questionnaire. Serum measurements of Vitamin D (1, 25(OH) D) levels and hormones were performed. Association of age, sex, primary site, effects of hormone therapy and stage of disease and selected reproductive health indicators on vitamin D status were primarily scrutinized by univariate analysis. Mean age of the population was 55.3 years (±15.6; Range: 20-90 years). Estradiol concentration was considerably elevated in young females compared to young male patients ( < 0.001). The concentrations of FSH, LH testosterone and estradiol were significantly lower in post-menopausal female CRC patients as compared to their male counterparts of old age (, for all trends < 0.05). Both LH and FSH showed significant gender difference but only in older patients. Level of estrogen was markedly decreased in older post-menopausal CRC patients compared to premenopausal CRC patients, which might be associated with CRC progression. In the group of women, who "ever used hormone therapy" had differences of statistical significance (, for all trends < 0.05) in their mean serum 25-OH VD concentrations, while in the group of women who "never used hormone therapy" had non-significant differences in their mean serum 25-OH VD concentrations (, for all trends > 0.05). High 25-OH VD concentrations were observed in women who had their menarche at the age of 15 years or more. Nulliparous women had the highest mean 25-OH VD concentrations as compared to unparious or multiparious women. In addition, women having their menopause at 40-44 years of age had the highest 25-OH VD concentrations, although the difference was not significant ( = 0.08). Women who "never used any oral contraceptive" had higher 25-OH VD concentrations as compared to those "whoever used oral contraceptives." Our findings suggest that vitamin D has a positive effect on the development of CRC through the mediation of hormones. Other health and reproductive traits that affect hormone levels may have an indirect effect on the development of CRC. Further potential studies that directly evaluate levels of circulating hormones and hormone therapy in women in association to 25-OH VD concentrations, as well as their possible role in colorectal cancer risk, would be vastly edifying.

摘要

关于结直肠癌(CRC)患者25-羟基维生素D(25-OH VD)浓度及相关因素的数据稀缺,有待研究。共有200名CRC患者参与了在巴基斯坦进行的这项横断面研究。通过预先测试的问卷收集社会人口统计学和其他健康数据。进行了维生素D(1,25(OH)D)水平和激素的血清检测。主要通过单因素分析来仔细研究年龄、性别、原发部位、激素治疗效果、疾病分期以及选定的生殖健康指标与维生素D状态之间的关联。研究人群的平均年龄为55.3岁(±15.6;范围:20 - 90岁)。与年轻男性患者相比,年轻女性的雌二醇浓度显著升高(<0.001)。绝经后女性CRC患者的促卵泡生成素(FSH)、促黄体生成素(LH)、睾酮和雌二醇浓度显著低于同龄男性患者(所有趋势,<0.05)。LH和FSH均显示出显著的性别差异,但仅在老年患者中。与绝经前CRC患者相比,绝经后老年CRC患者的雌激素水平明显降低,这可能与CRC进展有关。在“曾经使用过激素治疗”的女性组中,其平均血清25-OH VD浓度存在统计学显著差异(所有趋势,<0.05),而在“从未使用过激素治疗”的女性组中,其平均血清25-OH VD浓度无显著差异(所有趋势,>0.05)。月经初潮年龄在15岁及以上的女性中观察到较高的25-OH VD浓度。与未生育或多生育的女性相比,未生育女性的平均25-OH VD浓度最高。此外,40 - 44岁绝经的女性25-OH VD浓度最高,尽管差异不显著(=0.08)。“从未使用过任何口服避孕药”的女性比“曾经使用过口服避孕药”的女性25-OH VD浓度更高。我们的研究结果表明,维生素D通过激素介导对CRC的发展有积极影响。其他影响激素水平的健康和生殖特征可能对CRC的发展有间接影响。进一步直接评估女性循环激素水平和激素治疗与25-OH VD浓度的关联及其在结直肠癌风险中可能作用的潜在研究将具有极大的启发性。

https://cdn.ncbi.nlm.nih.gov/pmc/blobs/ec66/6558010/9e7f95a7d706/fonc-09-00468-g0001.jpg

文献AI研究员

20分钟写一篇综述,助力文献阅读效率提升50倍。

立即体验

用中文搜PubMed

大模型驱动的PubMed中文搜索引擎

马上搜索

文档翻译

学术文献翻译模型,支持多种主流文档格式。

立即体验