Suppr超能文献

在不同条件下 RAW264.7 细胞基因表达归一化的参照基因的验证。

Validation of Reference Genes for Gene Expression Normalization in RAW264.7 Cells under Different Conditions.

机构信息

School of Pharmacy, Jiangsu Health Vocational College, Nanjing, Jiangsu, China.

School of Life Science and Technology, China Pharmaceutical University, Nanjing, Jiangsu, China.

出版信息

Biomed Res Int. 2019 May 16;2019:6131879. doi: 10.1155/2019/6131879. eCollection 2019.

Abstract

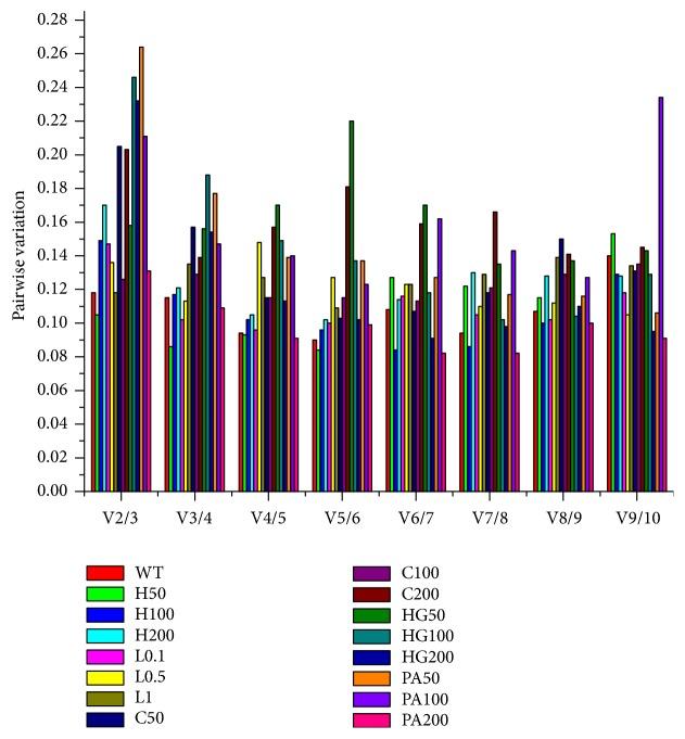
RAW264.7 is a macrophage strain derived from mice tumour and shows a significant ability in antigen uptake. Real-time quantitative PCR (RT-qPCR) is one of the most commonly used methods in gene studies and requires suitable reference genes to normalize and quantitate the expression of gene of interest with sensitivity and specificity. However, suitable reference genes in RAW264.7 cells have not yet been identified for accurate gene expression quantification. In the current study, we evaluated expression levels of ten candidate reference genes in RAW264.7 cells under different conditions. RT-qPCR results indicated significant differences in the expression levels among the ten reference genes. Statistical analyses were carried out using geNorm, NormFinder, and BestKeeper software to further investigate the stability of the reference genes. Integrating the results from the three analytical methods, cytochrome c-1 and hydroxymethylbilane synthase were found to be the most stable and therefore more suitable reference genes, while ribosomal protein L4 and cyclophilin A were the least stable. This study emphasises the importance of identifying and selecting the most stable reference genes for normalization and provides a basis for future gene expression studies using RAW264.7 cells.

摘要

RAW264.7 是一种源自小鼠肿瘤的巨噬细胞株,具有显著的抗原摄取能力。实时定量 PCR(RT-qPCR)是基因研究中最常用的方法之一,需要合适的参考基因来进行标准化和定量感兴趣基因的表达,以确保敏感性和特异性。然而,对于 RAW264.7 细胞中准确基因表达定量,尚未确定合适的参考基因。在本研究中,我们评估了十种候选参考基因在 RAW264.7 细胞在不同条件下的表达水平。RT-qPCR 结果表明,这十种参考基因的表达水平存在显著差异。使用 geNorm、NormFinder 和 BestKeeper 软件进行统计分析,进一步研究了参考基因的稳定性。综合这三种分析方法的结果,细胞色素 c-1 和羟甲基胆素合酶被认为是最稳定的参考基因,因此更适合,而核糖体蛋白 L4 和环孢菌素 A 则是最不稳定的参考基因。本研究强调了确定和选择最稳定的参考基因进行标准化的重要性,并为未来使用 RAW264.7 细胞进行基因表达研究提供了基础。

https://cdn.ncbi.nlm.nih.gov/pmc/blobs/87c3/6541955/2d993f00a4ea/BMRI2019-6131879.001.jpg

文献AI研究员

20分钟写一篇综述,助力文献阅读效率提升50倍。

立即体验

用中文搜PubMed

大模型驱动的PubMed中文搜索引擎

马上搜索

文档翻译

学术文献翻译模型,支持多种主流文档格式。

立即体验