Suppr超能文献

硅烯基亚膦烯与硫族元素反应仅生成与硅键合的硫族元素。

Treatment of Silylene-Phosphinidene with Chalcogens Resulted Exclusively in the Formation of Silicon-Bonded Chalcogens.

作者信息

Sinhababu Soumen, Siddiqui Mujahuddin M, Sarkar Samir Kumar, Münch Annika, Herbst-Irmer Regine, George Anjana, Parameswaran Pattiyil, Stalke Dietmar, Roesky Herbert W

机构信息

Institut für Anorganische Chemie, Universität Göttingen, Tammannstrasse 4, 37077 Göttingen, Germany.

Department of Chemistry, National Institute of Technology Calicut, NIT Campus P.O., Kozhikode, 673601, Kerala, India.

出版信息

Chemistry. 2019 Sep 2;25(49):11422-11426. doi: 10.1002/chem.201902661. Epub 2019 Aug 13.

Abstract

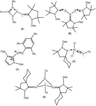
Chalcogen-bonded silicon phosphinidenes LSi(E)-P- cAAC (E=S (1); Se (2); Te (3); L=PhC(NtBu) ; cAAC=C(CH )(CMe ) N-2,6-iPr C H )) were synthesized from the reactions of silylene-phosphinidene LSi-P- cAAC (A) with elemental chalcogens. All the compounds reported herein have been characterized by multinuclear NMR, elemental analyses, LIFDI-MS, and single-crystal X-ray diffraction techniques. Furthermore, the regeneration of silylene-phosphinidene (A) was achieved from the reactions of 2-3 with L'Al (L'=HC{(CMe)(2,6-iPr C H N)} ). Theoretical studies on chalcogen-bonded silicon phosphinidenes indicate that the Si-E (E=S, Se, Te) bond can be best represented as charge-separated electron-sharing σ-bonding interaction between [LSi-P- cAAC] and E . The partial double-bond character of Si-E is attributed to significant hyperconjugative donation from the lone pair on E to the Si-N and Si-P σ*-molecular orbitals.

摘要

通过硅烯基亚膦烯LSi-P-cAAC(A)与元素硫族元素的反应,合成了硫族元素键合的硅基亚膦烯LSi(E)-P-cAAC(E = S(1);Se(2);Te(3);L = PhC(NtBu);cAAC = C(CH)(CMe)N-2,6-iPrC6H)。本文报道的所有化合物均已通过多核NMR、元素分析、激光诱导飞行时间质谱(LIFDI-MS)和单晶X射线衍射技术进行了表征。此外,通过2-3与L'Al(L'= HC{(CMe)(2,6-iPrC6H N)})的反应实现了硅烯基亚膦烯(A)的再生。对硫族元素键合的硅基亚膦烯进行的理论研究表明,Si-E(E = S、Se、Te)键可以最好地表示为[LSi-P-cAAC]与E之间的电荷分离电子共享σ键相互作用。Si-E的部分双键特性归因于E上孤对电子向Si-N和Si-P σ*分子轨道的显著超共轭供体作用。

https://cdn.ncbi.nlm.nih.gov/pmc/blobs/a2cd/6771779/c36850ae2813/CHEM-25-11422-g003.jpg

文献AI研究员

20分钟写一篇综述,助力文献阅读效率提升50倍。

立即体验

用中文搜PubMed

大模型驱动的PubMed中文搜索引擎

马上搜索

文档翻译

学术文献翻译模型,支持多种主流文档格式。

立即体验