Suppr超能文献

弥散加权心血管磁共振成像鉴别急性与非急性深静脉血栓。

Diffusion weighted cardiovascular magnetic resonance imaging for discriminating acute from non-acute deep venous Thrombus.

机构信息

Department of Radiology, Tongji Hospital, Tongji Medical College, Huazhong University of Science and Technology, No.1095, Jiefang Avenue, Wuhan, 430030, Hubei, China.

Department of Radiology, St. John's Medical Center, Tulsa, OK, USA.

出版信息

J Cardiovasc Magn Reson. 2019 Jul 8;21(1):37. doi: 10.1186/s12968-019-0552-5.

Abstract

BACKGROUND

The importance of discriminating acute from non-acute thrombus is highlighted. The study aims to investigate the feasibility of readout-segmented diffusion weighted (DW) cardiovascular magnetic resonance (CMR) for discrimination of acute from non-acute deep venous thrombus (DVT).

METHODS

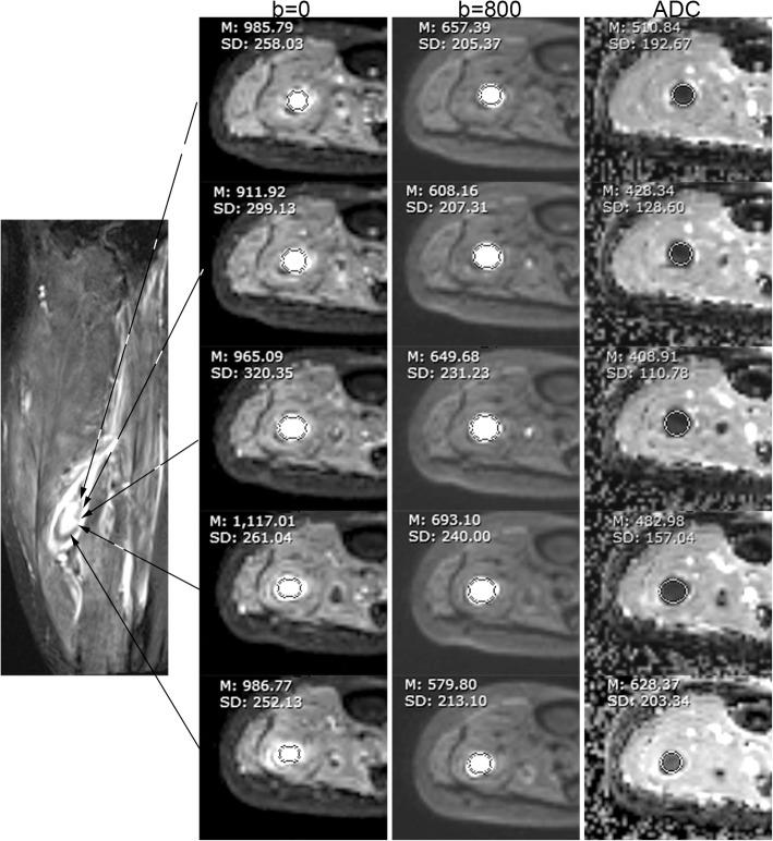
For this prospective study from December 2015 to December 2017, 85 participants (mean age = 53 years, age range = 3474) with DVT of lower extremities underwent readout-segmented DW CMR. DVT of ≤14 days were defined as acute (n = 55) and > 14 days as non-acute (n = 30). DVT visualization on b = 0, b = 800, and apparent diffusion coefficient (ADC) images were assessed using a 4-point scale (03, poor~excellent). DW CMR parameters were measured using region of interest (ROI). Relative signal intensity (rSI) and ADC were compared between acute and non-acute DVT using a Mann Whitney test. Sensitivity and specificity for ADC and rSI were calculated.

RESULTS

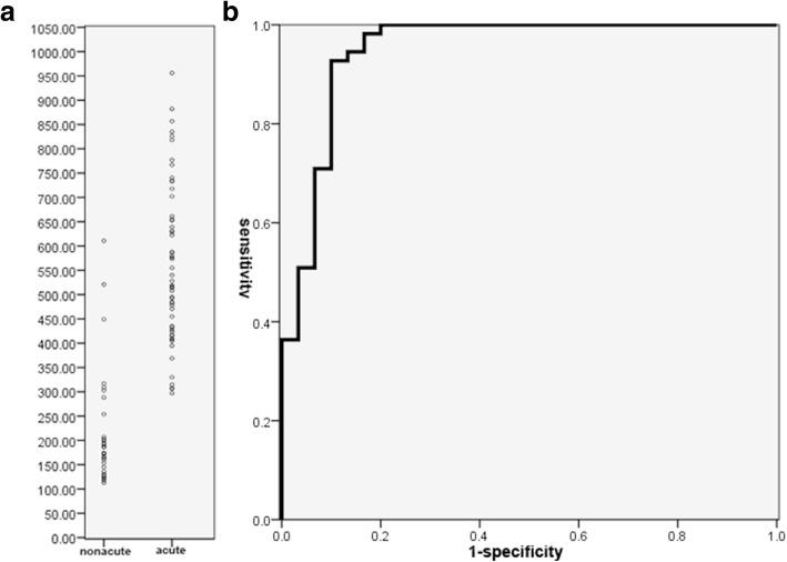
ADC maps had higher visualization scores than b = 0 and b = 800 images (2.7 ± 0.5, 2.5 ± 0.6, and 2.4 ± 0.6 respectively, P<0.05). The mean ADC was higher in acute DVT than non-acute DVT (0.56 ± 0.17 × 10 vs. 0.22 ± 0.12 × 10 mm/s, P<0.001). Using 0.32 × 10 mm/s as the cutoff, sensitivity and specificity for ADC to discriminate acute from non-acute DVT were 93 and 90% respectively. Sensitivity and specificity were 73 and 60% for rSI on b = 0, and 75 and 63% for rSI on b = 800.

CONCLUSIONS

Readout segmented diffusion-weighted CMR derived ADC distinguishes acute from non-acute DVT.

TRIAL REGISTRATION

This study is retrospectively registered.

TRIAL REGISTRATION NUMBER

HUST-TJH-2015-146 .

摘要

背景

区分急性血栓和非急性血栓的重要性不言而喻。本研究旨在探讨分段读出扩散加权(DW)心血管磁共振(CMR)用于区分急性和非急性下肢深静脉血栓形成(DVT)的可行性。

方法

本前瞻性研究于 2015 年 12 月至 2017 年 12 月纳入 85 例下肢 DVT 患者(平均年龄 53 岁,年龄 3474 岁),行分段读出 DW CMR 检查。DVT 发病时间≤14 天定义为急性(n=55),>14 天定义为非急性(n=30)。采用 4 分制(03 分,差~优)评估 b=0、b=800 及表观扩散系数(ADC)图像上的 DVT 显示情况。采用感兴趣区(ROI)测量 DW CMR 参数。采用 Mann-Whitney 检验比较急性和非急性 DVT 之间的相对信号强度(rSI)和 ADC。计算 ADC 和 rSI 的敏感性和特异性。

结果

ADC 图的显示评分高于 b=0 和 b=800 图像(分别为 2.7±0.5、2.5±0.6 和 2.4±0.6,P<0.05)。急性 DVT 的平均 ADC 值高于非急性 DVT(0.56±0.17×10-3mm/s 比 0.22±0.12×10-3mm/s,P<0.001)。当 ADC 截断值为 0.32×10-3mm/s 时,ADC 对急性和非急性 DVT 的鉴别诊断的敏感性和特异性分别为 93%和 90%。b=0 时 rSI 的敏感性和特异性分别为 73%和 60%,b=800 时 rSI 的敏感性和特异性分别为 75%和 63%。

结论

分段读出扩散加权 CMR 衍生的 ADC 可区分急性和非急性 DVT。

试验注册

本研究为回顾性研究。

试验注册号

HUST-TJH-2015-146。

https://cdn.ncbi.nlm.nih.gov/pmc/blobs/4d6d/6615231/edb23b1f44aa/12968_2019_552_Fig1_HTML.jpg

文献检索

告别复杂PubMed语法,用中文像聊天一样搜索,搜遍4000万医学文献。AI智能推荐,让科研检索更轻松。

立即免费搜索

文件翻译

保留排版,准确专业,支持PDF/Word/PPT等文件格式,支持 12+语言互译。

免费翻译文档

深度研究

AI帮你快速写综述,25分钟生成高质量综述,智能提取关键信息,辅助科研写作。

立即免费体验