Suppr超能文献

3,3-二芳基-1,1-二氰基-2-甲基-1-丙烯与烯丙基三甲基硅烷的光加成和光还原反应中自由基阴离子中间体的对映选择性质子化。

Enantioselective Protonation of Radical Anion Intermediates in Photoallylation and Photoreduction Reactions of 3,3-Diaryl-1,1-dicyano-2-methylprop-1-ene with Allyltrimethylsilane.

机构信息

Department of Applied Chemisty, College of Engineering, Osaka Prefecture University, 1-1 Gakuen-cho, Naka-ku, Sakai, Osaka 599-8531, Japan.

出版信息

Molecules. 2019 Jul 23;24(14):2677. doi: 10.3390/molecules24142677.

Abstract

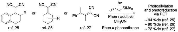
Photoreactions of acetonitrile solutions of 3,3-diaryl-1,1-dicyano-2-methylprop-1-enes (-) with allyltrimethylsilane () in the presence of phenanthrene as a photoredox catalyst and acetic acid as a proton source formed photoallylation () and photoreduction () products via photoinduced electron transfer pathways. When ()-mandelic acid was used as the proton source, the reactions proceeded with 3.4 and 4.8 %ee for formation of and , respectively. The results of studies of the effect of aryl ring substituents and several chiral carboxylic acids suggested that the enantioselectivities of the reactions are governed by steric controlled proton transfer in intermediate complexes formed by π-π and OH-π interactions of anion radicals derived from - and chiral carboxylic acids.

摘要

3,3-二芳基-1,1-二氰基-2-甲基-1-丙烯腈(-)在苯并菲作为光氧化还原催化剂和乙酸作为质子源的存在下与烯丙基三甲基硅烷()在乙腈溶液中的光反应形成光烯丙基化()和光还原()产物,通过光诱导电子转移途径。当()-扁桃酸作为质子源时,反应分别以 3.4 和 4.8 %ee 形成 和 。对芳基环取代基和几种手性羧酸影响的研究结果表明,反应的对映选择性受由 -和手性羧酸衍生的阴离子自由基的 π-π 和 OH-π 相互作用形成的中间配合物中立体控制质子转移的控制。

https://cdn.ncbi.nlm.nih.gov/pmc/blobs/1a90/6680834/cbf638c0bea3/molecules-24-02677-sch001.jpg

文献AI研究员

20分钟写一篇综述,助力文献阅读效率提升50倍。

立即体验

用中文搜PubMed

大模型驱动的PubMed中文搜索引擎

马上搜索

文档翻译

学术文献翻译模型,支持多种主流文档格式。

立即体验