• 文献检索
  • 文档翻译
  • 深度研究
  • 学术资讯
  • Suppr Zotero 插件Zotero 插件
  • 邀请有礼
  • 套餐&价格
  • 历史记录
应用&插件
Suppr Zotero 插件Zotero 插件浏览器插件Mac 客户端Windows 客户端微信小程序
定价
高级版会员购买积分包购买API积分包
服务
文献检索文档翻译深度研究API 文档MCP 服务
关于我们
关于 Suppr公司介绍联系我们用户协议隐私条款
关注我们

Suppr 超能文献

核心技术专利:CN118964589B侵权必究
粤ICP备2023148730 号-1Suppr @ 2026

文献检索

告别复杂PubMed语法,用中文像聊天一样搜索,搜遍4000万医学文献。AI智能推荐,让科研检索更轻松。

立即免费搜索

文件翻译

保留排版,准确专业,支持PDF/Word/PPT等文件格式,支持 12+语言互译。

免费翻译文档

深度研究

AI帮你快速写综述,25分钟生成高质量综述,智能提取关键信息,辅助科研写作。

立即免费体验

外部旋风分离器直径对两级旋风分离器性能的影响

Effect of External Cyclone Diameter on Performance of a Two-Stage Cyclone Separator.

作者信息

Chen Jihe, Yang Bin, Jiang Zhong-An, Wang Yapeng

机构信息

School of Civil and Resource Engineering, University of Science and Technology Beijing, No. 30 Xueyuan Road, Haidian District, Beijing 100083, China.

China Academy of Safety Science and Technology, No. 17, Huixin West Street, Chaoyang District, Beijing 100029, China.

出版信息

ACS Omega. 2019 Aug 7;4(8):13603-13616. doi: 10.1021/acsomega.9b02216. eCollection 2019 Aug 20.

DOI:10.1021/acsomega.9b02216
PMID:31460490
原文链接:https://pmc.ncbi.nlm.nih.gov/articles/PMC6705267/
Abstract

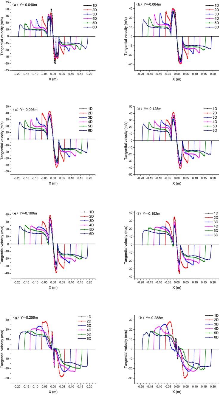
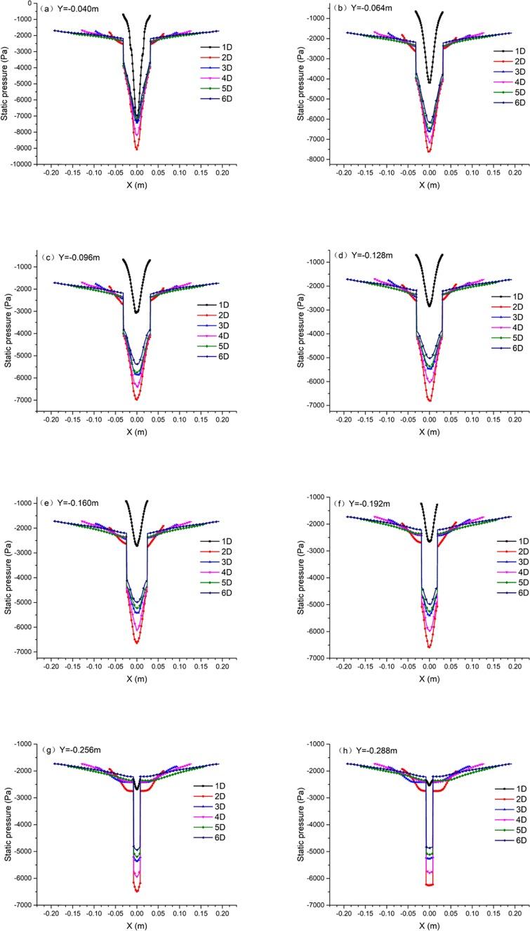
As a widely used separation device, a cyclone separator is especially important to improve its separation efficiency. In this paper, a new two-stage cyclone separator is designed and modeled by the Reynolds stress model. Under the premise of determining the diameter of the second-stage cyclone (D), the effects of five first-stage cyclone diameters (Du) on the performance of the two-stage cyclone are simulated. The performance of the single-stage cyclone separator is also obtained. The results show that Du has significant effects on the internal pressure field, flow field, and vortex core of the two-stage cyclone. Compared with the single-stage cyclone separator, the separation efficiency of the two-stage cyclone separator is significantly improved. When Du = 6D, the separation efficiency is improved by 15.5% compared with that of the single-stage cyclone. In addition, the two-stage cyclone separator can effectively reduce the Euler number.

摘要

作为一种广泛应用的分离装置,旋风分离器对于提高其分离效率尤为重要。本文采用雷诺应力模型设计并模拟了一种新型两级旋风分离器。在确定二级旋风分离器直径(D)的前提下,模拟了五种一级旋风分离器直径(Du)对两级旋风分离器性能的影响。同时也获得了单级旋风分离器的性能。结果表明,Du对两级旋风分离器的内部压力场、流场和涡核有显著影响。与单级旋风分离器相比,两级旋风分离器的分离效率显著提高。当Du = 6D时,与单级旋风分离器相比,分离效率提高了15.5%。此外,两级旋风分离器能有效降低欧拉数。

https://cdn.ncbi.nlm.nih.gov/pmc/blobs/0ce7/6705267/d3c0e99117f5/ao9b02216_0006.jpg
https://cdn.ncbi.nlm.nih.gov/pmc/blobs/0ce7/6705267/c22b93500bb1/ao9b02216_0014.jpg
https://cdn.ncbi.nlm.nih.gov/pmc/blobs/0ce7/6705267/38cca6b1cd62/ao9b02216_0013.jpg
https://cdn.ncbi.nlm.nih.gov/pmc/blobs/0ce7/6705267/e1f2543c1c6d/ao9b02216_0012.jpg
https://cdn.ncbi.nlm.nih.gov/pmc/blobs/0ce7/6705267/5f7df6b633f3/ao9b02216_0011.jpg
https://cdn.ncbi.nlm.nih.gov/pmc/blobs/0ce7/6705267/f24f7fa7d145/ao9b02216_0010.jpg
https://cdn.ncbi.nlm.nih.gov/pmc/blobs/0ce7/6705267/8ee6bb69f977/ao9b02216_0009.jpg
https://cdn.ncbi.nlm.nih.gov/pmc/blobs/0ce7/6705267/23c6853cfa8c/ao9b02216_0008.jpg
https://cdn.ncbi.nlm.nih.gov/pmc/blobs/0ce7/6705267/993afc68572a/ao9b02216_0007.jpg
https://cdn.ncbi.nlm.nih.gov/pmc/blobs/0ce7/6705267/d3c0e99117f5/ao9b02216_0006.jpg
https://cdn.ncbi.nlm.nih.gov/pmc/blobs/0ce7/6705267/c22b93500bb1/ao9b02216_0014.jpg
https://cdn.ncbi.nlm.nih.gov/pmc/blobs/0ce7/6705267/38cca6b1cd62/ao9b02216_0013.jpg
https://cdn.ncbi.nlm.nih.gov/pmc/blobs/0ce7/6705267/e1f2543c1c6d/ao9b02216_0012.jpg
https://cdn.ncbi.nlm.nih.gov/pmc/blobs/0ce7/6705267/5f7df6b633f3/ao9b02216_0011.jpg
https://cdn.ncbi.nlm.nih.gov/pmc/blobs/0ce7/6705267/f24f7fa7d145/ao9b02216_0010.jpg
https://cdn.ncbi.nlm.nih.gov/pmc/blobs/0ce7/6705267/8ee6bb69f977/ao9b02216_0009.jpg
https://cdn.ncbi.nlm.nih.gov/pmc/blobs/0ce7/6705267/23c6853cfa8c/ao9b02216_0008.jpg
https://cdn.ncbi.nlm.nih.gov/pmc/blobs/0ce7/6705267/993afc68572a/ao9b02216_0007.jpg
https://cdn.ncbi.nlm.nih.gov/pmc/blobs/0ce7/6705267/d3c0e99117f5/ao9b02216_0006.jpg

相似文献

1
Effect of External Cyclone Diameter on Performance of a Two-Stage Cyclone Separator.外部旋风分离器直径对两级旋风分离器性能的影响
ACS Omega. 2019 Aug 7;4(8):13603-13616. doi: 10.1021/acsomega.9b02216. eCollection 2019 Aug 20.
2
Effect of Inlet Air Volumetric Flow Rate on the Performance of a Two-Stage Cyclone Separator.进气容积流量对两级旋风分离器性能的影响
ACS Omega. 2018 Oct 15;3(10):13219-13226. doi: 10.1021/acsomega.8b02043. eCollection 2018 Oct 31.
3
Detection of Particulate Matter of Size 2.5 μm with a Surface-Acoustic-Wave Sensor Combined with a Cyclone Separator.结合旋风分离器的表面声波传感器对2.5微米颗粒物的检测
Micromachines (Basel). 2018 Aug 12;9(8):398. doi: 10.3390/mi9080398.
4
Secondary Lip Flow in a Cyclone Separator.旋风分离器中的二次唇流。
Flow Turbul Combust. 2023;110(3):581-600. doi: 10.1007/s10494-023-00395-5. Epub 2023 Jan 24.
5
Further theoretical studies of modified cyclone separator as a diesel soot particulate emission arrester.作为柴油碳烟颗粒排放抑制器的改进型旋风分离器的进一步理论研究。
J Environ Sci Eng. 2009 Oct;51(4):283-94.
6
Data of numerical simulation and experimental research on the design of a cyclone separator with a high flux density.高通量密度旋风分离器设计的数值模拟与实验研究数据。
Data Brief. 2018 Sep 7;20:1836-1843. doi: 10.1016/j.dib.2018.08.210. eCollection 2018 Oct.
7
Inlet Particle-Sorting Cyclone for the Enhancement of PM Separation.入口颗粒分级旋风器用于增强 PM 分离。
Environ Sci Technol. 2017 Feb 7;51(3):1587-1594. doi: 10.1021/acs.est.6b04418. Epub 2017 Jan 26.
8
Improvements of the cyclone separator performance by down-comer tubes.通过降液管提高旋风分离器性能。
J Hazard Mater. 2016 Jul 5;311:100-14. doi: 10.1016/j.jhazmat.2016.02.072. Epub 2016 Mar 4.
9
Soot elimination and heat recovery of industrial flue gas by heterogeneous condensation.基于非均相冷凝的工业烟气除炭黑与热量回收
Sci Rep. 2020 Feb 19;10(1):2929. doi: 10.1038/s41598-020-59833-3.
10
Improved design of a tangential entry cyclone separator for separation of particles from exhaust gas of diesel engine.
J Environ Sci Eng. 2011 Jan;53(1):45-50.

本文引用的文献

1
Effect of Inlet Air Volumetric Flow Rate on the Performance of a Two-Stage Cyclone Separator.进气容积流量对两级旋风分离器性能的影响
ACS Omega. 2018 Oct 15;3(10):13219-13226. doi: 10.1021/acsomega.8b02043. eCollection 2018 Oct 31.
2
Improvements of the cyclone separator performance by down-comer tubes.通过降液管提高旋风分离器性能。
J Hazard Mater. 2016 Jul 5;311:100-14. doi: 10.1016/j.jhazmat.2016.02.072. Epub 2016 Mar 4.
3
A CFD study of the effect of cyclone size on its performance parameters.旋风尺寸对其性能参数影响的 CFD 研究。
J Hazard Mater. 2010 Oct 15;182(1-3):835-41. doi: 10.1016/j.jhazmat.2010.06.115. Epub 2010 Jul 4.