• 文献检索
  • 文档翻译
  • 深度研究
  • 学术资讯
  • Suppr Zotero 插件Zotero 插件
  • 邀请有礼
  • 套餐&价格
  • 历史记录
应用&插件
Suppr Zotero 插件Zotero 插件浏览器插件Mac 客户端Windows 客户端微信小程序
定价
高级版会员购买积分包购买API积分包
服务
文献检索文档翻译深度研究API 文档MCP 服务
关于我们
关于 Suppr公司介绍联系我们用户协议隐私条款
关注我们

Suppr 超能文献

核心技术专利:CN118964589B侵权必究
粤ICP备2023148730 号-1Suppr @ 2026

文献检索

告别复杂PubMed语法,用中文像聊天一样搜索,搜遍4000万医学文献。AI智能推荐,让科研检索更轻松。

立即免费搜索

文件翻译

保留排版,准确专业,支持PDF/Word/PPT等文件格式,支持 12+语言互译。

免费翻译文档

深度研究

AI帮你快速写综述,25分钟生成高质量综述,智能提取关键信息,辅助科研写作。

立即免费体验

抗阻训练和拉伸相结合会增加心脏负荷吗?

Does the combination of resistance training and stretching increase cardiac overload?

机构信息

Programa de Pos Graduacao em Ciencias da Saude, Faculdade de Medicina do ABC, Centro Universitario Saude ABC (Fundacao ABC), Santo Andre, SP, BR.

Grupo de Pesquisa em Ciencia do Movimento Humano, Colegio Pedro II, Rio de Janeiro, RJ, BR.

出版信息

Clinics (Sao Paulo). 2019;74:e1066. doi: 10.6061/clinics/2019/e1066. Epub 2019 Sep 2.

DOI:10.6061/clinics/2019/e1066
PMID:31482980
原文链接:https://pmc.ncbi.nlm.nih.gov/articles/PMC6711259/
Abstract

OBJECTIVES

To compare the effects of combinations of resistance training (RT) and static stretching (SS) on heart rate (HR), systolic pressure (SBP), diastolic pressure (DBP), rate pressure product (RPP), oxygen saturation (SpO2), rating of perceived effort (RPE), and heart rate variability (HRV) in men.

METHODS

Twelve normotensive healthy men participated in four protocols: a) SS+RT, b) RT+SS, c) RT, and d) SS. Variables were measured before, immediately after, and 15, 30, and 45 min after the sessions.

RESULTS

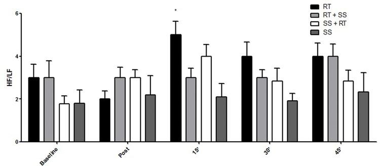
The combination of SS and RT increased (p<0.001) HR when compared to the effects of the noncombined protocols (from 2.38 to 11.02%), and this result indicated metabolic compensation. Regarding DBP, there were differences (p<0.001) between the RT and SS groups (53.93±8.59 vs. 67.00±7.01 mmHg). SS has been shown to be able to reduce (p<0.001) SpO2 (4.67%) due to the occlusion caused by a reduction in the caliber of the blood vessels during SS compared to during rest. The increase in RPP (6.88% between RT and SS+RT) along with the HR results indicated higher metabolic stress than that reflected by the RPE (combined protocols increased RPE from 21.63 to 43.25%). The HRV analysis confirmed these results, showing increases (p<0.01) in the LF index between the combined and noncombined protocols. Compared to the effect of RT, the combination of SS and RT promoted a vagal suppression root mean square of the successive differences (RMSSD) index (from 9.51 to 21.52%) between the RT and SS+RT groups (p<0.01) and between the RT and RT+SS groups (p<0.001).

CONCLUSION

Static stretching increases cardiac overload and RPE, reducing oxygen supply, especially when performed in combination with RT.

摘要

目的

比较抗阻训练(RT)和静态拉伸(SS)组合对男性的心率(HR)、收缩压(SBP)、舒张压(DBP)、心率血压乘积(RPP)、血氧饱和度(SpO2)、主观用力感觉等级(RPE)和心率变异性(HRV)的影响。

方法

12 名血压正常的健康男性参与了 4 个方案:a)SS+RT,b)RT+SS,c)RT,和 d)SS。在运动前后以及运动后 15、30 和 45 分钟时测量变量。

结果

与非组合方案相比,SS 和 RT 的组合增加了(p<0.001)HR(从 2.38 增加到 11.02%),这一结果表明存在代谢补偿。关于 DBP,RT 和 SS 组之间存在差异(p<0.001)(53.93±8.59 对 67.00±7.01mmHg)。由于 SS 时血管口径减小导致血管闭塞,SS 被证明能够降低(p<0.001)SpO2(4.67%)。与 RT 和 SS+RT 相比,RPP 的增加(6.88%)与 HR 结果一起表明代谢应激高于 RPE 所反映的应激(组合方案将 RPE 从 21.63 增加到 43.25%)。HRV 分析证实了这些结果,显示在组合与非组合方案之间 LF 指数增加(p<0.01)。与 RT 相比,SS 和 RT 的组合促进了迷走神经抑制的均方根差(RMSSD)指数(从 9.51 增加到 21.52%),在 RT 和 SS+RT 组之间(p<0.01)和 RT 和 RT+SS 组之间(p<0.001)。

结论

静态拉伸会增加心脏负荷和 RPE,减少氧气供应,尤其是在与 RT 结合时。

https://cdn.ncbi.nlm.nih.gov/pmc/blobs/6e59/6711259/0745535bf8b5/cln-74-e1066-g005.jpg
https://cdn.ncbi.nlm.nih.gov/pmc/blobs/6e59/6711259/c38a1912864e/cln-74-e1066-g001.jpg
https://cdn.ncbi.nlm.nih.gov/pmc/blobs/6e59/6711259/a9dc9fae26a8/cln-74-e1066-g002.jpg
https://cdn.ncbi.nlm.nih.gov/pmc/blobs/6e59/6711259/b2fddf65aab7/cln-74-e1066-g003.jpg
https://cdn.ncbi.nlm.nih.gov/pmc/blobs/6e59/6711259/391f6af232e8/cln-74-e1066-g004.jpg
https://cdn.ncbi.nlm.nih.gov/pmc/blobs/6e59/6711259/0745535bf8b5/cln-74-e1066-g005.jpg
https://cdn.ncbi.nlm.nih.gov/pmc/blobs/6e59/6711259/c38a1912864e/cln-74-e1066-g001.jpg
https://cdn.ncbi.nlm.nih.gov/pmc/blobs/6e59/6711259/a9dc9fae26a8/cln-74-e1066-g002.jpg
https://cdn.ncbi.nlm.nih.gov/pmc/blobs/6e59/6711259/b2fddf65aab7/cln-74-e1066-g003.jpg
https://cdn.ncbi.nlm.nih.gov/pmc/blobs/6e59/6711259/391f6af232e8/cln-74-e1066-g004.jpg
https://cdn.ncbi.nlm.nih.gov/pmc/blobs/6e59/6711259/0745535bf8b5/cln-74-e1066-g005.jpg

相似文献

1
Does the combination of resistance training and stretching increase cardiac overload?抗阻训练和拉伸相结合会增加心脏负荷吗?
Clinics (Sao Paulo). 2019;74:e1066. doi: 10.6061/clinics/2019/e1066. Epub 2019 Sep 2.
2
Acute effects of different static stretching exercises orders on cardiovascular and autonomic responses.不同静态伸展运动顺序对心血管和自主反应的急性影响。
Sci Rep. 2019 Oct 31;9(1):15738. doi: 10.1038/s41598-019-52055-2.
3
Acute heart rate, blood pressure, and RPE responses during super slow vs. traditional machine resistance training protocols using small muscle group exercises.在使用小肌群运动的超慢速与传统器械抗阻训练方案期间的急性心率、血压和主观用力程度反应。
J Strength Cond Res. 2009 Jan;23(1):72-9. doi: 10.1519/JSC.0b013e3181854b15.
4
Heart rate variability and blood pressure during dynamic and static exercise at similar heart rate levels.在相似心率水平下动态和静态运动期间的心率变异性和血压。
PLoS One. 2013 Dec 13;8(12):e83690. doi: 10.1371/journal.pone.0083690. eCollection 2013.
5
Order Effects of Resistance and Stretching Exercises on Heart Rate Variability and Blood Pressure in Healthy Adults.抗阻和拉伸练习对健康成年人心率变异性和血压的序贯效应。
J Strength Cond Res. 2019 Oct;33(10):2684-2693. doi: 10.1519/JSC.0000000000002627.
6
Acute resistance exercise with blood flow restriction effects on heart rate, double product, oxygen saturation and perceived exertion.急性血流限制阻力运动对心率、双乘积、血氧饱和度和主观用力感觉的影响。
Clin Physiol Funct Imaging. 2016 Jan;36(1):53-9. doi: 10.1111/cpf.12193. Epub 2014 Sep 26.
7
Cardiovascular responses to passive static flexibility exercises are influenced by the stretched muscle mass and the Valsalva maneuver.被动静态伸展运动对心血管的反应受到伸展肌肉质量和瓦尔萨尔瓦动作的影响。
Clinics (Sao Paulo). 2011;66(3):459-64. doi: 10.1590/s1807-59322011000300017.
8
Effects of Manual Therapies and Resistance Exercise on Postexercise Hypotension in Women With Normal Blood Pressure.手法治疗和抗阻运动对血压正常女性运动后低血压的影响。
J Strength Cond Res. 2022 Apr 1;36(4):948-954. doi: 10.1519/JSC.0000000000004137.
9
Resistance Training in Spontaneously Hypertensive Rats with Severe Hypertension.重度高血压自发性高血压大鼠的抗阻训练
Arq Bras Cardiol. 2016 Mar;106(3):201-9. doi: 10.5935/abc.20160019. Epub 2016 Feb 2.
10
Isolated and combined effects of aerobic and strength exercise on post-exercise blood pressure and cardiac vagal reactivation in normotensive men.有氧运动和力量训练对血压和正常男性运动后迷走神经再激活的单独及联合作用。
J Strength Cond Res. 2011 Mar;25(3):640-5. doi: 10.1519/JSC.0b013e3181c1fcc7.

引用本文的文献

1
Changes in the Allostatic Response to Whole-Body Cryotherapy and Static-Stretching Exercises in Chronic Fatigue Syndrome Patients vs. Healthy Individuals.慢性疲劳综合征患者与健康个体对全身冷冻疗法和静态拉伸运动的应激反应变化。
J Clin Med. 2021 Jun 25;10(13):2795. doi: 10.3390/jcm10132795.
2
Acute effects of different static stretching exercises orders on cardiovascular and autonomic responses.不同静态伸展运动顺序对心血管和自主反应的急性影响。
Sci Rep. 2019 Oct 31;9(1):15738. doi: 10.1038/s41598-019-52055-2.

本文引用的文献

1
Order Effects of Resistance and Stretching Exercises on Heart Rate Variability and Blood Pressure in Healthy Adults.抗阻和拉伸练习对健康成年人心率变异性和血压的序贯效应。
J Strength Cond Res. 2019 Oct;33(10):2684-2693. doi: 10.1519/JSC.0000000000002627.
2
Does a resistance exercise session with continuous or intermittent blood flow restriction promote muscle damage and increase oxidative stress?进行持续或间歇性血流限制的抗阻训练会促进肌肉损伤并增加氧化应激吗?
J Sports Sci. 2018 Jan;36(1):104-110. doi: 10.1080/02640414.2017.1283430. Epub 2017 Jan 31.
3
Influence of Rest Interval Length Between Sets on Blood Pressure and Heart Rate Variability After a Strength Training Session Performed By Prehypertensive Men.
高血压前期男性进行力量训练后,每组训练之间休息间隔时长对血压和心率变异性的影响。
J Strength Cond Res. 2016 Jul;30(7):1813-24. doi: 10.1519/JSC.0000000000001302.
4
High dietary phosphate intake induces hypertension and augments exercise pressor reflex function in rats.高膳食磷摄入量会诱发大鼠高血压并增强运动升压反射功能。
Am J Physiol Regul Integr Comp Physiol. 2016 Jul 1;311(1):R39-48. doi: 10.1152/ajpregu.00124.2016. Epub 2016 May 11.
5
Influence of passive stretch on muscle blood flow, oxygenation and central cardiovascular responses in healthy young males.被动拉伸对健康年轻男性肌肉血流量、氧合作用及中枢心血管反应的影响。
Am J Physiol Heart Circ Physiol. 2016 May 1;310(9):H1210-21. doi: 10.1152/ajpheart.00732.2015. Epub 2016 Mar 4.
6
Blood flow restriction training and the exercise pressor reflex: a call for concern.血流限制训练与运动升压反射:值得关注的问题
Am J Physiol Heart Circ Physiol. 2015 Nov;309(9):H1440-52. doi: 10.1152/ajpheart.00208.2015. Epub 2015 Sep 4.
7
Hemodynamic responses during and after multiple sets of stretching exercises performed with and without the Valsalva maneuver.在进行多组拉伸运动期间及之后,分别在进行和不进行瓦尔萨尔瓦动作的情况下的血流动力学反应。
Clinics (Sao Paulo). 2015 May;70(5):333-8. doi: 10.6061/clinics/2015(05)05. Epub 2015 May 1.
8
Acute resistance exercise with blood flow restriction effects on heart rate, double product, oxygen saturation and perceived exertion.急性血流限制阻力运动对心率、双乘积、血氧饱和度和主观用力感觉的影响。
Clin Physiol Funct Imaging. 2016 Jan;36(1):53-9. doi: 10.1111/cpf.12193. Epub 2014 Sep 26.
9
The importance of a priori sample size estimation in strength and conditioning research.在力量与体能研究中,先验样本量估计的重要性。
J Strength Cond Res. 2013 Aug;27(8):2323-37. doi: 10.1519/JSC.0b013e318278eea0.
10
A 10-week stretching program increases strength in the contralateral muscle.一项为期 10 周的拉伸计划可增强对侧肌肉的力量。
J Strength Cond Res. 2012 Mar;26(3):832-6. doi: 10.1519/JSC.0b013e3182281b41.