Graduate School of Systems and Information Engineering, University of Tsukuba, Tsukuba, Ibaraki, Japan.
PLoS One. 2019 Sep 4;14(9):e0221885. doi: 10.1371/journal.pone.0221885. eCollection 2019.
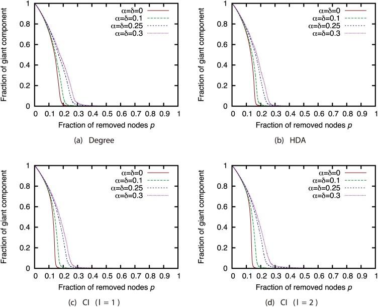
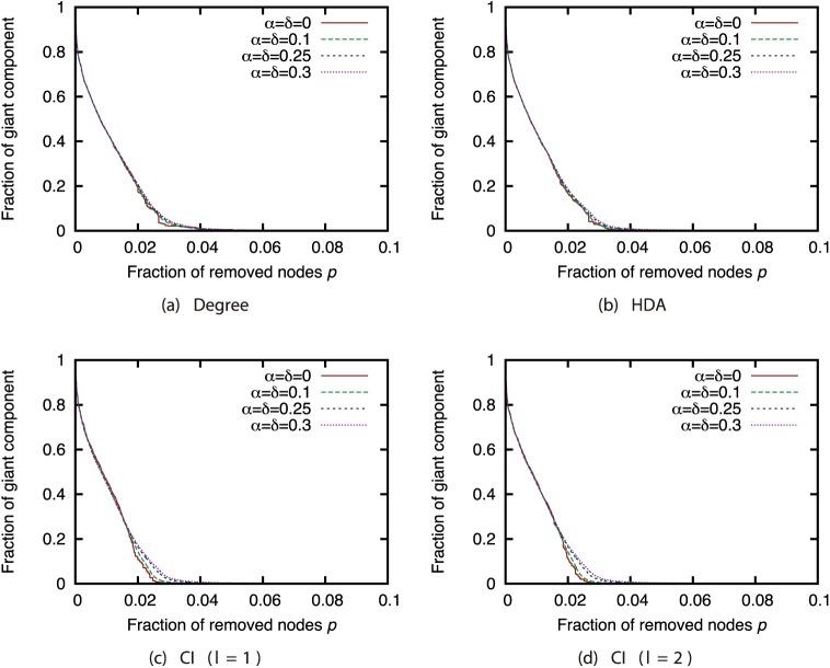
We investigate the effectiveness of network attack strategies when the attacker has only imperfect information about the network. While most existing network attack strategies assume complete knowledge about the network, in reality it is difficult to obtain the complete structure of a large-scale complex network. This paper considers two scenarios in which the available network information is imperfect. In one scenario, the network contains link errors (i.e., missing and false links) due to measurement errors, and in the other scenario the target network is so large that only part of the network structure is available from network sampling. Through extensive simulations, we show that particularly in a network with highly skewed degree distribution, network attack strategies are robust against link errors. Even if the network contains 30% false links and missing links, the strategies are just as effective as when the complete network is available. We also show that the attack strategies are far less effective when the network is obtained from random sampling, whereas the detrimental effects of network sampling on network attack strategies are small when using biased sampling strategies such as breadth-first search, depth-first search, and sample edge counts. Moreover, the effectiveness of network attack strategies is examined in the context of network immunization, and the implications of the results are discussed.
我们研究了当攻击者对网络只有不完全信息时的网络攻击策略的有效性。虽然大多数现有的网络攻击策略都假设对网络有完整的了解,但实际上很难获得大规模复杂网络的完整结构。本文考虑了两种网络信息不完整的情况。在一种情况下,由于测量误差,网络中存在链路错误(即缺失和错误链路);在另一种情况下,目标网络太大,只能从网络采样中获得网络结构的一部分。通过广泛的模拟,我们表明,特别是在具有高度偏度度分布的网络中,网络攻击策略对链路错误具有鲁棒性。即使网络中包含 30%的错误链路和缺失链路,这些策略的效果也与完整网络可用时一样好。我们还表明,当网络是通过随机采样获得时,攻击策略的效果要差得多,而当使用偏向采样策略(如广度优先搜索、深度优先搜索和采样边计数)时,网络采样对网络攻击策略的不利影响较小。此外,还在网络免疫的背景下检查了网络攻击策略的有效性,并讨论了结果的含义。