Chiu Yi-Han, Lee Yi-Yen, Huang Kuo-Chin, Liu Cheng-Chi, Lin Chen-Si
Department of Nursing, St. Mary's Junior College of Medicine, Nursing and Management, Yilan 26647, Taiwan.
Institute of Long-Term Care, Mackay Medical College, New Taipei City 25245, Taiwan.
J Oncol. 2019 Aug 14;2019:2024648. doi: 10.1155/2019/2024648. eCollection 2019.
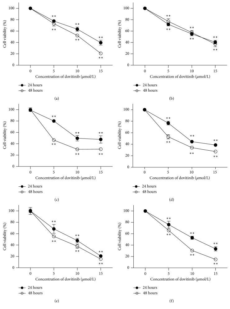
Breast cancer is the most common cancer and the leading cause of cancer deaths in women worldwide. The rising incidence rate and female mortality make it a significant public health concern in recent years. Dovitinib is a novel multitarget receptor tyrosine kinase inhibitor, which has been enrolled in several clinical trials in different cancers. However, its antitumor efficacy has not been well determined in breast cancers. Our results demonstrated that dovitinib showed significant antitumor activity in human breast cancer cell lines with dose- and time-dependent manners. Downregulation of phosphor-()-STAT3 and its subsequent effectors Mcl-1 and cyclin D1 was responsible for this drug effect. Ectopic expression of STAT3 rescued the breast cancer cells from cell apoptosis induced by dovitinib. Moreover, SHP-1 inhibitor reversed the downregulation of -STAT3 induced by dovitinib, indicating that SHP-1 mediated the STAT3 inhibition effect of dovitinib. In addition to apoptosis, we found for the first time that dovitinib also activated autophagy to promote cell death in breast cancer cells. In conclusion, dovitinib induced both apoptosis and autophagy to block the growth of breast cancer cells by regulating the SHP-1-dependent STAT3 inhibition.
乳腺癌是全球女性中最常见的癌症,也是癌症死亡的主要原因。发病率和女性死亡率的上升使其成为近年来一个重大的公共卫生问题。多韦替尼是一种新型多靶点受体酪氨酸激酶抑制剂,已被用于多种癌症的临床试验。然而,其在乳腺癌中的抗肿瘤疗效尚未得到充分确定。我们的结果表明,多韦替尼在人乳腺癌细胞系中显示出显著的抗肿瘤活性,且呈剂量和时间依赖性。磷酸化的()-STAT3及其下游效应分子Mcl-1和细胞周期蛋白D1的下调是这种药物作用的原因。STAT3的异位表达使乳腺癌细胞免受多韦替尼诱导的细胞凋亡。此外,SHP-1抑制剂逆转了多韦替尼诱导的-STAT3的下调,表明SHP-1介导了多韦替尼对STAT3的抑制作用。除了凋亡,我们首次发现多韦替尼还激活自噬以促进乳腺癌细胞死亡。总之,多韦替尼通过调节SHP-1依赖的STAT3抑制,诱导凋亡和自噬以阻断乳腺癌细胞的生长。