• 文献检索
  • 文档翻译
  • 深度研究
  • 学术资讯
  • Suppr Zotero 插件Zotero 插件
  • 邀请有礼
  • 套餐&价格
  • 历史记录
应用&插件
Suppr Zotero 插件Zotero 插件浏览器插件Mac 客户端Windows 客户端微信小程序
定价
高级版会员购买积分包购买API积分包
服务
文献检索文档翻译深度研究API 文档MCP 服务
关于我们
关于 Suppr公司介绍联系我们用户协议隐私条款
关注我们

Suppr 超能文献

核心技术专利:CN118964589B侵权必究
粤ICP备2023148730 号-1Suppr @ 2026

文献检索

告别复杂PubMed语法,用中文像聊天一样搜索,搜遍4000万医学文献。AI智能推荐,让科研检索更轻松。

立即免费搜索

文件翻译

保留排版,准确专业,支持PDF/Word/PPT等文件格式,支持 12+语言互译。

免费翻译文档

深度研究

AI帮你快速写综述,25分钟生成高质量综述,智能提取关键信息,辅助科研写作。

立即免费体验

二取代嘧啶的合成及作为选择性 5-HT 激动剂的生物评价。

Synthesis and Biological Evaluation of Disubstituted Pyrimidines as Selective 5-HT Agonists.

机构信息

Center for Neuro-Medicine, Korea Institute of Science and Technology (KIST), Seoul 02792, Korea.

Department of Chemistry, Korea University, Seoul 02841, Korea.

出版信息

Molecules. 2019 Sep 5;24(18):3234. doi: 10.3390/molecules24183234.

DOI:10.3390/molecules24183234
PMID:31491978
原文链接:https://pmc.ncbi.nlm.nih.gov/articles/PMC6767204/
Abstract

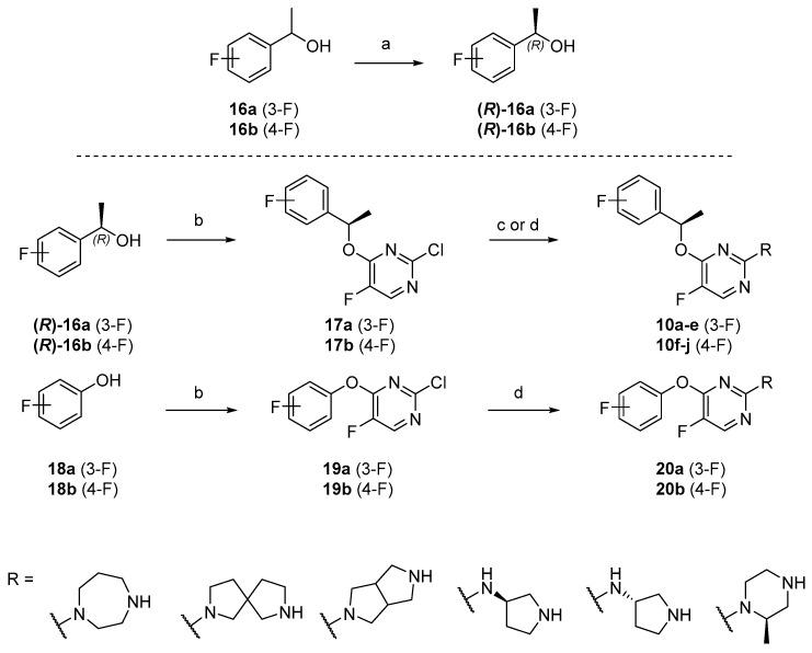
Here, we describe the synthesis of disubstituted pyrimidine derivatives and their biological evaluation as selective 5-HT agonists. To improve selectivity for 5-HT over other subtypes, we synthesized two series of disubstituted pyrimidines with fluorophenylalkoxy groups at either the 5-position or 4-position and varying cyclic amines at the 2-position. The in vitro cell-based assay and binding assay identified compounds and as potent 5-HT agonists. Further studies on selectivity to 5-HT subtypes and drug-like properties indicated that 2,4-disubstituted pyrimidine showed a highly agonistic effect on the 5-HT receptor, with excellent selectivity, as well as exceptional drug-like properties, including high plasma and microsomal stability, along with low CYP inhibition. Thus, pyrimidine could be considered a viable lead compound as a 5-HT selective agonist.

摘要

在这里,我们描述了二取代嘧啶衍生物的合成及其作为选择性 5-HT 激动剂的生物学评价。为了提高对 5-HT 的选择性而不是其他亚型,我们合成了两个系列的二取代嘧啶,它们在 5-位或 4-位具有氟苯烷氧基,在 2-位具有不同的环状胺。基于细胞的体外测定和结合测定鉴定出化合物 和 为有效的 5-HT 激动剂。对 5-HT 亚型选择性和类药性的进一步研究表明,2,4-二取代嘧啶 在 5-HT 受体上表现出高度激动作用,具有优异的选择性,以及出色的类药性,包括高血浆和微粒体稳定性,以及低 CYP 抑制。因此,嘧啶 可以被认为是一种可行的先导化合物,作为一种 5-HT 选择性激动剂。

https://cdn.ncbi.nlm.nih.gov/pmc/blobs/adb0/6767204/b9d92bb462d9/molecules-24-03234-g003.jpg
https://cdn.ncbi.nlm.nih.gov/pmc/blobs/adb0/6767204/66922b3e8e11/molecules-24-03234-g001.jpg
https://cdn.ncbi.nlm.nih.gov/pmc/blobs/adb0/6767204/9f0288f18557/molecules-24-03234-g002.jpg
https://cdn.ncbi.nlm.nih.gov/pmc/blobs/adb0/6767204/46139c6272b5/molecules-24-03234-sch001.jpg
https://cdn.ncbi.nlm.nih.gov/pmc/blobs/adb0/6767204/ec0b9b3d5d88/molecules-24-03234-sch002.jpg
https://cdn.ncbi.nlm.nih.gov/pmc/blobs/adb0/6767204/b9d92bb462d9/molecules-24-03234-g003.jpg
https://cdn.ncbi.nlm.nih.gov/pmc/blobs/adb0/6767204/66922b3e8e11/molecules-24-03234-g001.jpg
https://cdn.ncbi.nlm.nih.gov/pmc/blobs/adb0/6767204/9f0288f18557/molecules-24-03234-g002.jpg
https://cdn.ncbi.nlm.nih.gov/pmc/blobs/adb0/6767204/46139c6272b5/molecules-24-03234-sch001.jpg
https://cdn.ncbi.nlm.nih.gov/pmc/blobs/adb0/6767204/ec0b9b3d5d88/molecules-24-03234-sch002.jpg
https://cdn.ncbi.nlm.nih.gov/pmc/blobs/adb0/6767204/b9d92bb462d9/molecules-24-03234-g003.jpg

相似文献

1
Synthesis and Biological Evaluation of Disubstituted Pyrimidines as Selective 5-HT Agonists.二取代嘧啶的合成及作为选择性 5-HT 激动剂的生物评价。
Molecules. 2019 Sep 5;24(18):3234. doi: 10.3390/molecules24183234.
2
Identification of Optically Active Pyrimidine Derivatives as Selective 5-HT Modulators.鉴定具有光学活性的嘧啶衍生物为选择性 5-HT 调节剂。
Molecules. 2017 Aug 26;22(9):1416. doi: 10.3390/molecules22091416.
3
The identification of pyrimidine-diazabicyclo[3.3.0]octane derivatives as 5-HT2C receptor agonists.嘧啶-二氮杂双环[3.3.0]辛烷衍生物作为5-HT2C受体激动剂的鉴定。
Bioorg Med Chem Lett. 2006 Jun 1;16(11):2891-4. doi: 10.1016/j.bmcl.2006.03.007. Epub 2006 Mar 20.
4
Design and Discovery of Functionally Selective Serotonin 2C (5-HT) Receptor Agonists.设计和发现具有功能选择性的血清素 2C(5-HT)受体激动剂。
J Med Chem. 2016 Nov 10;59(21):9866-9880. doi: 10.1021/acs.jmedchem.6b01194. Epub 2016 Oct 25.
5
Tetrahydroquinoline-based tricyclic amines as potent and selective agonists of the 5-HT receptor.基于四氢喹啉的三环胺作为5-羟色胺受体的强效和选择性激动剂。
Bioorg Med Chem Lett. 2016 Dec 15;26(24):5877-5882. doi: 10.1016/j.bmcl.2016.11.016. Epub 2016 Nov 9.
6
Novel (R)-6,6a,7,8,9,10-hexahydro-5H-pyrazino[1,2-a][1,n]naphthyridines as potent and selective agonists of the 5-HT receptor.新型(R)-6,6a,7,8,9,10-六氢-5H-吡嗪并[1,2-a][1,n]萘啶作为 5-HT 受体的有效和选择性激动剂。
Bioorg Med Chem Lett. 2021 Apr 15;38:127872. doi: 10.1016/j.bmcl.2021.127872. Epub 2021 Feb 23.
7
Selective 5-HT2C receptor agonists: Design and synthesis of pyridazine-fused azepines.选择性5-羟色胺2C受体激动剂:哒嗪并氮杂卓类化合物的设计与合成。
Bioorg Med Chem Lett. 2016 Aug 15;26(16):4117-21. doi: 10.1016/j.bmcl.2016.06.060. Epub 2016 Jun 23.
8
Amberlyst-15 catalysed synthesis of novel indole derivatives under ultrasound irradiation: Their evaluation as serotonin 5-HT receptor agonists.超声辐射下 Amberlyst-15 催化合成新型吲哚衍生物:作为 5-羟色胺 5-HT 受体激动剂的评价。
Bioorg Chem. 2021 Nov;116:105380. doi: 10.1016/j.bioorg.2021.105380. Epub 2021 Oct 2.
9
Multiparameter optimization in CNS drug discovery: design of pyrimido[4,5-d]azepines as potent 5-hydroxytryptamine 2C (5-HT₂C) receptor agonists with exquisite functional selectivity over 5-HT₂A and 5-HT₂B receptors.中枢神经系统药物发现中的多参数优化:作为强效 5-羟色胺 2C(5-HT₂C)受体激动剂的嘧啶并[4,5-d]氮杂卓的设计,对 5-HT₂A 和 5-HT₂B 受体具有优异的功能选择性。
J Med Chem. 2014 Jun 26;57(12):5258-69. doi: 10.1021/jm5003292. Epub 2014 Jun 17.
10
Optimization of 2-phenylcyclopropylmethylamines as selective serotonin 2C receptor agonists and their evaluation as potential antipsychotic agents.2-苯环丙基甲胺类化合物作为选择性 5-羟色胺 2C 受体激动剂的优化及其作为潜在抗精神病药物的评估。
J Med Chem. 2015 Feb 26;58(4):1992-2002. doi: 10.1021/jm5019274. Epub 2015 Feb 10.

引用本文的文献

1
Diazepine Agonists of the 5-HT Receptor with Unprecedented Selectivity: Discovery of Bexicaserin (LP352).具有前所未有的选择性的5-羟色胺受体二氮杂䓬类激动剂:贝西卡色林(LP352)的发现。
J Med Chem. 2025 Jun 12;68(11):10599-10618. doi: 10.1021/acs.jmedchem.4c02923. Epub 2025 May 14.
2
Identification of Spiro[chromene-2,4'-piperidine]s as Potent, Selective, and G-Biased 5-HT Receptor Partial Agonists.螺[色烯-2,4'-哌啶]类化合物作为强效、选择性且G蛋白偏向性5-羟色胺受体部分激动剂的鉴定
ACS Med Chem Lett. 2023 Dec 18;15(1):99-106. doi: 10.1021/acsmedchemlett.3c00454. eCollection 2024 Jan 11.

本文引用的文献

1
Synthesis and Evaluation of Pyridyloxypyridyl Indole Carboxamides as Potential PET Imaging Agents for 5-HT Receptors.作为5-羟色胺受体潜在正电子发射断层显像剂的吡啶氧基吡啶基吲哚甲酰胺的合成与评价
ACS Med Chem Lett. 2018 Feb 5;9(3):188-192. doi: 10.1021/acsmedchemlett.7b00443. eCollection 2018 Mar 8.
2
5-HT Receptor Structures Reveal the Structural Basis of GPCR Polypharmacology.5-HT 受体结构揭示了 G 蛋白偶联受体多效性的结构基础。
Cell. 2018 Feb 8;172(4):719-730.e14. doi: 10.1016/j.cell.2018.01.001. Epub 2018 Feb 1.
3
Identification of Optically Active Pyrimidine Derivatives as Selective 5-HT Modulators.
鉴定具有光学活性的嘧啶衍生物为选择性 5-HT 调节剂。
Molecules. 2017 Aug 26;22(9):1416. doi: 10.3390/molecules22091416.
4
Copper-Catalyzed Diaryl Ether Formation from (Hetero)aryl Halides at Low Catalytic Loadings.铜催化(杂)芳基卤化物低催化负荷下的二芳基醚形成。
J Org Chem. 2017 May 5;82(9):4964-4969. doi: 10.1021/acs.joc.7b00493. Epub 2017 Apr 26.
5
A Potential PET Radiotracer for the 5-HT Receptor: Synthesis and in Vivo Evaluation of 4-(3-[F]fluorophenethoxy)pyrimidine.一种潜在的5-羟色胺受体正电子发射断层显像(PET)放射性示踪剂:4-(3-[F]氟苯乙氧基)嘧啶的合成及体内评价
ACS Chem Neurosci. 2017 May 17;8(5):996-1003. doi: 10.1021/acschemneuro.6b00445. Epub 2017 Feb 27.
6
Selective 5-HT2C receptor agonists: Design and synthesis of pyridazine-fused azepines.选择性5-羟色胺2C受体激动剂:哒嗪并氮杂卓类化合物的设计与合成。
Bioorg Med Chem Lett. 2016 Aug 15;26(16):4117-21. doi: 10.1016/j.bmcl.2016.06.060. Epub 2016 Jun 23.
7
Developmental changes in serotonin signaling: Implications for early brain function, behavior and adaptation.血清素信号传导的发育变化:对早期脑功能、行为和适应的影响。
Neuroscience. 2017 Feb 7;342:212-231. doi: 10.1016/j.neuroscience.2016.02.037. Epub 2016 Feb 22.
8
Application of an Integrated GPCR SAR-Modeling Platform To Explain the Activation Selectivity of Human 5-HT2C over 5-HT2B.应用整合的GPCR SAR建模平台解释人5-HT2C相对于5-HT2B的激活选择性
ACS Chem Biol. 2016 May 20;11(5):1372-82. doi: 10.1021/acschembio.5b01045. Epub 2016 Mar 7.
9
5-HT2C receptors in psychiatric disorders: A review.精神疾病中的5-羟色胺2C受体:综述
Prog Neuropsychopharmacol Biol Psychiatry. 2016 Apr 3;66:120-135. doi: 10.1016/j.pnpbp.2015.12.006. Epub 2015 Dec 29.
10
Synthesis and in vitro evaluation of [18F]FECIMBI-36: A potential agonist PET ligand for 5-HT2A/2C receptors.[18F]FECIMBI-36的合成与体外评价:一种潜在的5-HT2A/2C受体激动剂PET配体。
Bioorg Med Chem Lett. 2015 Sep 15;25(18):3933-6. doi: 10.1016/j.bmcl.2015.07.034. Epub 2015 Jul 20.