• 文献检索
  • 文档翻译
  • 深度研究
  • 学术资讯
  • Suppr Zotero 插件Zotero 插件
  • 邀请有礼
  • 套餐&价格
  • 历史记录
应用&插件
Suppr Zotero 插件Zotero 插件浏览器插件Mac 客户端Windows 客户端微信小程序
定价
高级版会员购买积分包购买API积分包
服务
文献检索文档翻译深度研究API 文档MCP 服务
关于我们
关于 Suppr公司介绍联系我们用户协议隐私条款
关注我们

Suppr 超能文献

核心技术专利:CN118964589B侵权必究
粤ICP备2023148730 号-1Suppr @ 2026

文献检索

告别复杂PubMed语法,用中文像聊天一样搜索,搜遍4000万医学文献。AI智能推荐,让科研检索更轻松。

立即免费搜索

文件翻译

保留排版,准确专业,支持PDF/Word/PPT等文件格式,支持 12+语言互译。

免费翻译文档

深度研究

AI帮你快速写综述,25分钟生成高质量综述,智能提取关键信息,辅助科研写作。

立即免费体验

肠外营养中精氨酸摄入与早产儿群体血浆精氨酸浓度的关系:系统评价。

Relationship between arginine intake in parenteral nutrition and preterm neonatal population plasma arginine concentrations: a systematic review.

机构信息

Institute of Translational Medicine, University of Liverpool, Department of Women's and Children's Health, Liverpool Women's Hospital, Liverpool, United Kingdom.

Faculty of Pharmacy, Universiti Kebangsaan Malaysia, Jalan Raja Muda Abdul Aziz, Kuala Lumpur, Malaysia.

出版信息

Nutr Rev. 2019 Dec 1;77(12):878-889. doi: 10.1093/nutrit/nuz049.

DOI:10.1093/nutrit/nuz049
PMID:31504841
原文链接:https://pmc.ncbi.nlm.nih.gov/articles/PMC6888765/
Abstract

CONTEXT

Very preterm neonates (VPNs) are unable to digest breast milk and therefore rely on parenteral nutrition (PN) formulations. This systematic review was prepared following PRISMA-P 2015 guidelines. For the purpose of this review, desirable mean plasma arginine concentration is defined as ≥80 micromoles/L.

OBJECTIVE

The review was performed to answer the following research question: "In VPNs, are high amounts of arginine in PN, compared with low amounts of arginine, associated with appropriate circulating concentrations of arginine?" Therefore, the aims were to 1) quantify the relationship between parenteral arginine intakes and plasma arginine concentrations in PN-dependent VPNs; 2) identify any features of study design that affect this relationship; and 3) estimate the target parenteral arginine dose to achieve desirable preterm plasma arginine concentrations.

DATA SOURCES

The PubMed, Scopus, Web of Science, and Cochrane databases were searched regardless of study design; review articles were not included.

DATA EXTRACTION

Only articles that discussed amino acid (AA) intake and measured plasma AA profile post PN in VPNs were included. Data were obtained using a data extraction checklist that was devised for the purpose of this review.

DATA ANALYSIS

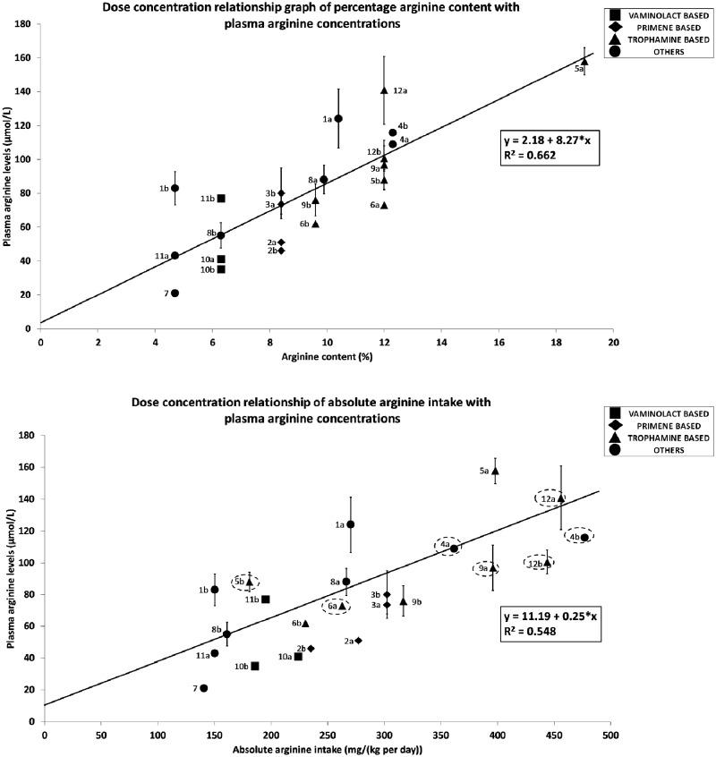
Twelve articles met the inclusion criteria. The dose-concentration relationship of arginine content (%) and absolute arginine intake (mg/(kg × d)) with plasma arginine concentrations showed a significant positive correlation (P < 0.001).

CONCLUSION

Future studies using AA solutions with arginine content of 17%-20% and protein intakes of 3.5-4.0 g/kg per day may be needed to achieve higher plasma arginine concentrations.

摘要

背景

极早产儿(VPN)无法消化母乳,因此依赖于肠外营养(PN)配方。本系统评价是按照 PRISMA-P 2015 指南准备的。就本综述而言,理想的平均血浆精氨酸浓度定义为≥80 微摩尔/升。

目的

进行这项综述是为了回答以下研究问题:“在 VPN 中,与低精氨酸 PN 相比,高剂量 PN 中的精氨酸是否与适当的循环精氨酸浓度相关?”因此,目的是 1)量化 PN 依赖的 VPN 中肠外精氨酸摄入量与血浆精氨酸浓度之间的关系;2)确定影响这种关系的研究设计特征;3)估计实现理想早产儿血浆精氨酸浓度的目标肠外精氨酸剂量。

数据来源

无论研究设计如何,均在 PubMed、Scopus、Web of Science 和 Cochrane 数据库中进行了搜索;未包括综述文章。

数据提取

仅纳入讨论氨基酸(AA)摄入量并在 VPN 中测量 PN 后血浆 AA 谱的文章。使用专门为此综述设计的数据提取清单获取数据。

数据分析

符合纳入标准的有 12 篇文章。精氨酸含量(%)和绝对精氨酸摄入量(mg/(kg·d))与血浆精氨酸浓度的剂量-浓度关系呈显著正相关(P<0.001)。

结论

未来可能需要使用精氨酸含量为 17%-20%和蛋白质摄入量为 3.5-4.0 g/kg/d 的 AA 溶液的研究来实现更高的血浆精氨酸浓度。

https://cdn.ncbi.nlm.nih.gov/pmc/blobs/255c/6888765/5e2e7479cee6/nuz049f3.jpg
https://cdn.ncbi.nlm.nih.gov/pmc/blobs/255c/6888765/e0c2c736f148/nuz049f1.jpg
https://cdn.ncbi.nlm.nih.gov/pmc/blobs/255c/6888765/c2e9db2c14b8/nuz049f2.jpg
https://cdn.ncbi.nlm.nih.gov/pmc/blobs/255c/6888765/5e2e7479cee6/nuz049f3.jpg
https://cdn.ncbi.nlm.nih.gov/pmc/blobs/255c/6888765/e0c2c736f148/nuz049f1.jpg
https://cdn.ncbi.nlm.nih.gov/pmc/blobs/255c/6888765/c2e9db2c14b8/nuz049f2.jpg
https://cdn.ncbi.nlm.nih.gov/pmc/blobs/255c/6888765/5e2e7479cee6/nuz049f3.jpg

相似文献

1
Relationship between arginine intake in parenteral nutrition and preterm neonatal population plasma arginine concentrations: a systematic review.肠外营养中精氨酸摄入与早产儿群体血浆精氨酸浓度的关系:系统评价。
Nutr Rev. 2019 Dec 1;77(12):878-889. doi: 10.1093/nutrit/nuz049.
2
High Protein Intake Does Not Prevent Low Plasma Levels of Conditionally Essential Amino Acids in Very Preterm Infants Receiving Parenteral Nutrition.高蛋白摄入并不能预防接受肠外营养的极早产儿血浆中条件必需氨基酸水平偏低的情况。
JPEN J Parenter Enteral Nutr. 2017 Mar;41(3):455-462. doi: 10.1177/0148607115594009. Epub 2016 Jul 11.
3
Plasma arginine levels and blood glucose control in very preterm infants receiving 2 different parenteral nutrition regimens.接受两种不同肠外营养方案的极早产儿的血浆精氨酸水平与血糖控制
JPEN J Parenter Enteral Nutr. 2014 Feb;38(2):243-53. doi: 10.1177/0148607113479130. Epub 2013 Mar 8.
4
Enteral arginine partially ameliorates parenteral nutrition-induced small intestinal atrophy and stimulates hepatic protein synthesis in neonatal piglets.肠内精氨酸可部分改善肠外营养诱导的新生仔猪小肠萎缩,并刺激其肝脏蛋白质合成。
JPEN J Parenter Enteral Nutr. 2014 Nov;38(8):973-81. doi: 10.1177/0148607113498906. Epub 2013 Aug 26.
5
Higher versus lower protein intake in formula-fed low birth weight infants.配方奶喂养的低出生体重婴儿中较高与较低蛋白质摄入量的比较。
Cochrane Database Syst Rev. 2006 Jan 25(1):CD003959. doi: 10.1002/14651858.CD003959.pub2.
6
Effect of low versus high early parenteral nutrition on plasma amino acid profiles in very low birth-weight infants.低剂量与高剂量早期肠外营养对极低出生体重儿血浆氨基酸谱的影响。
J Matern Fetal Neonatal Med. 2012 Jun;25(6):770-6. doi: 10.3109/14767058.2011.589873. Epub 2011 Jul 20.
7
[Strategies for nutrition of the preterm infant with low and very low birth weight].[低出生体重和极低出生体重早产儿的营养策略]
Akush Ginekol (Sofiia). 2010;49(2):33-9.
8
Amino acid dosing in parenteral nutrition for very low birth weight preterm neonates: an outcome assessment.极低出生体重早产儿肠外营养中的氨基酸剂量:一项结局评估。
Asia Pac J Clin Nutr. 2016;25(1):53-61. doi: 10.6133/apjcn.2016.25.2.02.
9
Effects of protein/nonprotein caloric intake on parenteral nutrition associated cholestasis in premature infants weighing 600-1000 grams.蛋白质/非蛋白质热量摄入对体重600 - 1000克早产儿肠外营养相关胆汁淤积的影响。
JPEN J Parenter Enteral Nutr. 2007 Nov-Dec;31(6):487-90. doi: 10.1177/0148607107031006487.
10
Plasma Aluminum Concentrations in Pediatric Patients Receiving Long-Term Parenteral Nutrition.接受长期肠外营养的儿科患者的血浆铝浓度
JPEN J Parenter Enteral Nutr. 2015 Jul;39(5):578-85. doi: 10.1177/0148607114531046. Epub 2014 Apr 17.

本文引用的文献

1
ESPGHAN/ESPEN/ESPR/CSPEN guidelines on pediatric parenteral nutrition: Amino acids.欧洲儿科胃肠病、肝病和营养学会/欧洲临床营养和代谢学会/欧洲儿科研究学会/欧洲临床营养和代谢学会儿科肠外营养指南:氨基酸
Clin Nutr. 2018 Dec;37(6 Pt B):2315-2323. doi: 10.1016/j.clnu.2018.06.945. Epub 2018 Jun 18.
2
ESPGHAN/ESPEN/ESPR/CSPEN guidelines on pediatric parenteral nutrition: Energy.欧洲儿科胃肠病、肝病和营养学会/欧洲临床营养与代谢学会/欧洲儿科研究学会/欧洲临床营养与代谢学会儿科肠外营养指南:能量
Clin Nutr. 2018 Dec;37(6 Pt B):2309-2314. doi: 10.1016/j.clnu.2018.06.944. Epub 2018 Jun 18.
3
ESPGHAN/ESPEN/ESPR/CSPEN guidelines on pediatric parenteral nutrition: Guideline development process for the updated guidelines.
欧洲儿科胃肠病、肝病和营养学会/欧洲临床营养和代谢学会/欧洲儿科研究学会/临床营养支持学会儿科肠外营养指南:更新指南的制定过程
Clin Nutr. 2018 Dec;37(6 Pt B):2306-2308. doi: 10.1016/j.clnu.2018.06.943. Epub 2018 Jun 27.
4
Parenteral nutrition for preterm infants: Issues and strategy.早产儿的肠外营养:问题与策略。
Arch Pediatr. 2018 May;25(4):286-294. doi: 10.1016/j.arcped.2018.02.005. Epub 2018 Apr 12.
5
Growth and Neurodevelopmental Outcomes of Early, High-Dose Parenteral Amino Acid Intake in Very Low Birth Weight Infants: A Randomized Controlled Trial.早期高剂量肠外氨基酸摄入对极低出生体重儿生长和神经发育结局的影响:一项随机对照试验。
JPEN J Parenter Enteral Nutr. 2018 Mar;42(3):597-606. doi: 10.1177/0148607117696330. Epub 2017 Dec 12.
6
The intestinal-renal axis for arginine synthesis is present and functional in the neonatal pig.精氨酸合成的肠-肾轴在新生仔猪中存在且发挥作用。
Am J Physiol Endocrinol Metab. 2017 Aug 1;313(2):E233-E242. doi: 10.1152/ajpendo.00055.2017. Epub 2017 Jun 13.
7
High Protein Intake Does Not Prevent Low Plasma Levels of Conditionally Essential Amino Acids in Very Preterm Infants Receiving Parenteral Nutrition.高蛋白摄入并不能预防接受肠外营养的极早产儿血浆中条件必需氨基酸水平偏低的情况。
JPEN J Parenter Enteral Nutr. 2017 Mar;41(3):455-462. doi: 10.1177/0148607115594009. Epub 2016 Jul 11.
8
Quality of newborn care: adherence to guidelines for parenteral nutrition in preterm infants in four European countries.新生儿护理质量:在四个欧洲国家,早产儿肠外营养指南的依从性。
BMJ Open. 2013 Sep 18;3(9):e003478. doi: 10.1136/bmjopen-2013-003478.
9
Early amino acid administration in very preterm infants: Too little, too late or too much, too soon?极早产儿早期氨基酸输注:量过少、时间过晚还是量过多、时间过早?
Semin Fetal Neonatal Med. 2013 Jun;18(3):160-165. doi: 10.1016/j.siny.2013.02.002. Epub 2013 Mar 13.
10
Effect of hyperalimentation and insulin-treated hyperglycemia on tyrosine levels in very preterm infants receiving parenteral nutrition.胃肠外营养支持下,全胃肠外营养联合胰岛素治疗高血糖对极早产儿酪氨酸水平的影响
JPEN J Parenter Enteral Nutr. 2014 Jan;38(1):92-8. doi: 10.1177/0148607112467036. Epub 2012 Nov 20.