Soto Claudia A, Du Huang-Chi, Fox Robert G, Yang Taegyun, Hooson James, Anastasio Noelle C, Gilbertson Scott R, Cunningham Kathryn A
Center for Addiction Research and Department of Pharmacology and Toxicology, University of Texas Medical Branch, Galveston, TX, United States.
Department of Chemistry, University of Houston, Houston, TX, United States.
Front Pharmacol. 2019 Aug 23;10:907. doi: 10.3389/fphar.2019.00907. eCollection 2019.
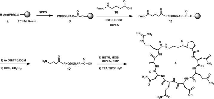
Hypofunction of the serotonin (5-HT) 5-HT receptor (5-HTR) has been implicated in a variety of disorders including substance use disorders. As such, approaches to enhance 5-HTR signaling display therapeutic potential. In the present study, we show that disruption of the 5-HTR interaction with the protein phosphatase and tensin homolog (PTEN) peptidomimetics enhances 5-HTR-mediating signaling and potentiates selective 5-HTR agonists in behavioral rodent models. Overall, the present study provides further evidence that 5-HTR activity can be modulated through an allosteric protein-protein interaction. This work provides the groundwork for the continued exploration of protein-protein interactions that can allosterically modulate this critical receptor and other important G protein-coupled receptors (GPCRs) for new therapeutic development through mechanisms that may display clinical utility.
血清素(5-羟色胺,5-HT)5-HT受体(5-HTR)功能减退与包括物质使用障碍在内的多种疾病有关。因此,增强5-HTR信号传导的方法具有治疗潜力。在本研究中,我们表明破坏5-HTR与蛋白磷酸酶和张力蛋白同源物(PTEN)拟肽的相互作用可增强5-HTR介导的信号传导,并增强行为啮齿动物模型中选择性5-HTR激动剂的作用。总体而言,本研究提供了进一步的证据,表明5-HTR活性可通过变构蛋白-蛋白相互作用进行调节。这项工作为继续探索蛋白-蛋白相互作用奠定了基础,这些相互作用可以通过可能具有临床效用的机制变构调节这一关键受体和其他重要的G蛋白偶联受体(GPCR),以用于新的治疗开发。