Suppr超能文献

昼夜采收周期和树液成分对‘蜜金’芒果果实皮下褐变的影响

Diurnal Harvest Cycle and Sap Composition Affect Under-Skin Browning in 'Honey Gold' Mango Fruit.

作者信息

San Anh T, Hofman Peter J, Joyce Daryl C, Macnish Andrew J, Marques Jose R, Webb Richard I, Li Guoqin, Smyth Heather E

机构信息

Sub-institute of Agriculture Engineering and Postharvest Technology, Ho Chi Minh City, Vietnam.

Maroochy Research Facility, Department of Agriculture and Fisheries, Nambour, QLD, Australia.

出版信息

Front Plant Sci. 2019 Sep 13;10:1093. doi: 10.3389/fpls.2019.01093. eCollection 2019.

Abstract

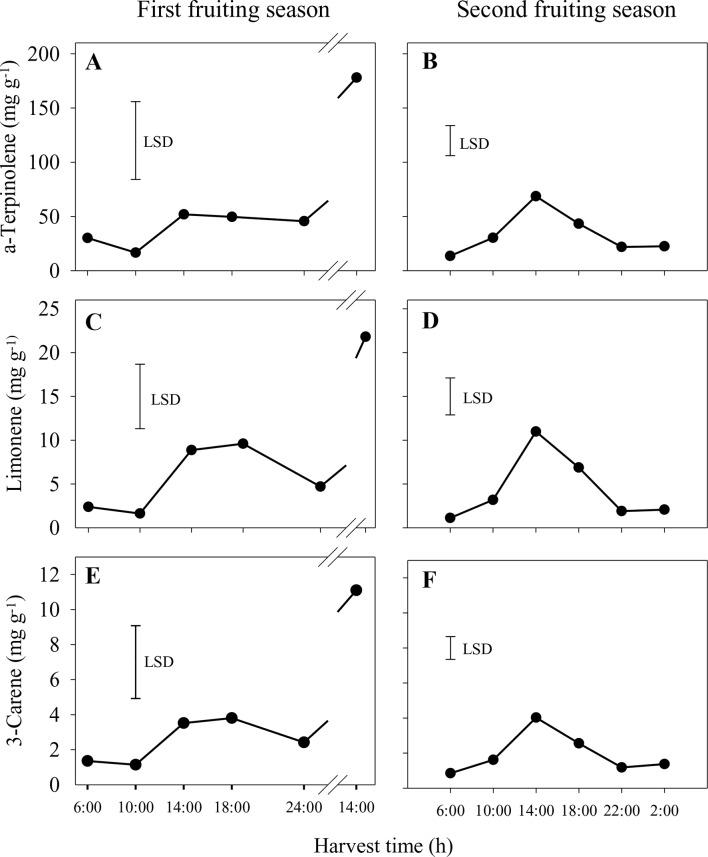
Under-skin browning (USB) is an unsightly physiological disorder that afflicts 'Honey Gold' mango fruit. Under-skin browning symptoms develop after harvest upon the interaction of physical abrasion and physiological chilling stresses. Less understood preharvest and/or harvest factors may also influence fruit susceptibility to USB. In this study, we examined the impact of harvest time during the diurnal cycle and fruit sap components on USB development. Fruits were harvested at 4- to 6-h intervals, lightly abraded with sandpaper to simulate vibration damage during refrigerated road transport, held at 12 ± 1°C for 6 days, transported to the research facilities and ripened before USB assessment. Spurt and ooze sap from the fruit were collected at each harvest time. The samples were separated and analysed by gas chromatography-mass spectrometry. Fruit harvested at 10:00, 14:00 and 18:00 h had 3- to 5-fold higher incidence of USB than did those picked at 22:00, 2:00 and 6:00 h. Sap concentrations of the key aroma volatile compounds 2-carene, 3-carene, α-terpinene, -cymene, limonene and α-terpinolene were higher for fruit harvested at 14:00 h compared to those picked at other times. In the fruits harvested in the afternoon, abraded skin treated with spurt sap sampled at 14:00 h had 14.3- and 29.0-fold higher incidence and severity, respectively, of induced browning than did those treated with sap collected at 6:00 h. The results showed that fruit harvested in the afternoon were more susceptible to USB than those picked at night or in early morning. The diurnal variation in fruit sensitivity was evidently associated with specific compositional differences in sap phytotoxicity. Topical application to the fruit skin of pure terpinolene and limonene resulted in induced USB damage, whereas pure carene and distilled water did not. Microscopy examination showed that while skin damage caused by pure terpinolene and limonene was not identical to USB per se, similarities suggested that sap components cause USB under inductive commercial conditions. Considered collectively, these findings suggest that night and early morning harvesting will reduce USB and thus improve the postharvest quality of Honey Gold mango fruit.

摘要

皮下褐变(USB)是一种影响“蜜金”芒果果实的难看的生理病害。皮下褐变症状在收获后,由于物理擦伤和生理冷害胁迫的相互作用而出现。人们对采前和/或收获因素了解较少,这些因素可能也会影响果实对皮下褐变的易感性。在本研究中,我们研究了昼夜周期中的收获时间和果实汁液成分对皮下褐变发展的影响。果实每隔4至6小时收获一次,用砂纸轻轻擦伤以模拟冷藏公路运输过程中的振动损伤,在12±1°C下保存6天,运至研究设施并在进行皮下褐变评估前使其成熟。在每次收获时收集果实的渗出液和汁液。样品经分离后用气相色谱 - 质谱联用仪进行分析。在10:00、14:00和18:00收获的果实发生皮下褐变的发生率比在22:00、2:00和6:00收获的果实高3至5倍。与在其他时间采摘的果实相比,14:00收获的果实中关键香气挥发性化合物2 - 蒈烯、3 - 蒈烯、α - 萜品烯、对异丙基甲苯、柠檬烯和α - 萜品油烯的汁液浓度更高。在下午收获的果实中,用14:00采集的渗出液处理的擦伤果皮诱导褐变的发生率和严重程度分别比用6:00采集的汁液处理的高出14.3倍和29.0倍。结果表明,下午收获的果实比夜间或清晨收获的果实更容易发生皮下褐变。果实敏感性的昼夜变化显然与汁液植物毒性的特定成分差异有关。将纯萜品油烯和柠檬烯局部涂抹在果实表皮上会导致诱导性皮下褐变损伤,而纯蒈烯和蒸馏水则不会。显微镜检查表明,虽然纯萜品油烯和柠檬烯引起的表皮损伤本身与皮下褐变不完全相同,但相似之处表明汁液成分在诱导性商业条件下会导致皮下褐变。综合考虑,这些发现表明夜间和清晨收获将减少皮下褐变,从而提高“蜜金”芒果果实的采后品质。

https://cdn.ncbi.nlm.nih.gov/pmc/blobs/74f4/6755338/b3a8d263fae5/fpls-10-01093-g001.jpg

文献AI研究员

20分钟写一篇综述,助力文献阅读效率提升50倍。

立即体验

用中文搜PubMed

大模型驱动的PubMed中文搜索引擎

马上搜索

文档翻译

学术文献翻译模型,支持多种主流文档格式。

立即体验