Department of Telecommunications, University of Stuttgart, 70569 Stuttgart, Germany.
School of Electrical Engineering & Computer Science (SEECS), National University of Sciences & Technology (NUST), Islamabad 44000, Pakistan.
Sensors (Basel). 2019 Nov 4;19(21):4793. doi: 10.3390/s19214793.
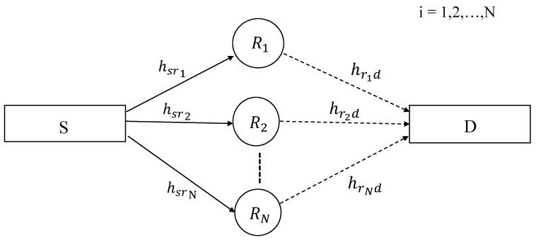
This paper presents cooperative transmission (CT), where multiple relays are used to achieve array and diversity gains, as an enabling technology for Internet of Things (IoT) networks with hardware-limited devices. We investigate a channel coding aided decode-and-forward (DF) relaying network, considering a two-hop multiple-relay network, where the data transmission between the source and the destination is realized with the help of DF relays. Low density parity check (LDPC) codes are adopted as forward error correction (FEC) codes to encode and decode the data both at the source and relays. We consider both fixed and variable code rates depending upon the quality-of-service (QoS) provisioning such as spectral efficiency and maximum energy efficiency. Furthermore, an optimal power allocation scheme is studied for the cooperative system under the energy efficiency constraint. We present the simulation results of our proposed scheme, compared with conventional methods, which show that if decoupled code rates are used on both hops then a trade-off has to be maintained between system complexity, transmission delay, and bit error rate (BER).
本文提出了协作传输(CT),其中使用多个中继来实现阵列和分集增益,作为物联网(IoT)网络的一项使能技术,这些网络具有硬件受限的设备。我们研究了一种信道编码辅助的解码转发(DF)中继网络,考虑了一种两跳多中继网络,其中源和目的地之间的数据传输借助 DF 中继来实现。低密度奇偶校验(LDPC)码被采用作为前向纠错(FEC)码,在源和中继处对数据进行编码和解码。我们考虑了固定和可变码率,这取决于服务质量(QoS)的规定,例如频谱效率和最大能量效率。此外,还研究了能量效率约束下协作系统的最优功率分配方案。我们提出了所提出方案的仿真结果,并与传统方法进行了比较,结果表明,如果在两个跳上使用解耦码率,则必须在系统复杂性、传输延迟和误码率(BER)之间保持折衷。