Suppr超能文献

使用夹捏和动力手柄组合的万能操作器进行操作。

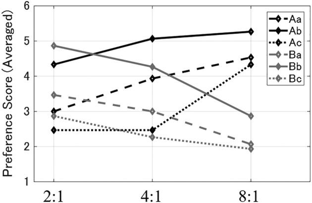
Manipulation of a master manipulator with a combined-grip-handle of pinch and power grips.

机构信息

School of Engineering, Tokyo Institute of Technology, Yokohama-shi, Japan.

Laboratory for Future Interdisciplinary Research of Science and Technology, Tokyo Institute of Technology, Yokohama-shi, Japan.

出版信息

Int J Med Robot. 2020 Apr;16(2):e2065. doi: 10.1002/rcs.2065. Epub 2020 Jan 10.

Abstract

Conventional robotic surgery employs pinch and power grips for manipulating a master manipulator. As such, the manipulating methods exhibit limitations that are strongly related to the advantages and disadvantages of the gripping type. The context of this paper is focused on the introduction of a combined grip to compensate for such restraints. In particular, this paper proposed the combined-grip-handle scheme on a master manipulator, which employs both the pinch and power grips. A pointing experiment applying the master-slave scheme was conducted with the master manipulator under several manipulating conditions of the combined grip and the conventional gripping types. Results of using the combined grip demonstrated that the positioning operation performed with fewer failures and required shorter time and trajectory. Compared with the conventional gripping types, the proposed combined grip showed better performance on the positioning operation and provided a possibility to perform precise work at lower scale factors.

摘要

传统的机器人手术采用捏合和动力夹持来操纵主操纵器。因此,操纵方法具有一定的局限性,这与夹持类型的优缺点密切相关。本文的重点是介绍一种组合夹持来弥补这些限制。具体来说,本文提出了一种在主操纵器上采用捏合和动力夹持的组合夹持手柄方案。在主从方案下,使用主操纵器进行了指向实验,在组合夹持和传统夹持类型的几种操作条件下进行了实验。使用组合夹持的结果表明,定位操作的失败次数更少,所需时间和轨迹更短。与传统的夹持类型相比,所提出的组合夹持在定位操作方面表现更好,并且为在较低的比例因子下进行精确工作提供了可能性。

https://cdn.ncbi.nlm.nih.gov/pmc/blobs/7459/7154756/484ef0f9b978/RCS-16-e2065-g001.jpg

文献AI研究员

20分钟写一篇综述,助力文献阅读效率提升50倍。

立即体验

用中文搜PubMed

大模型驱动的PubMed中文搜索引擎

马上搜索

文档翻译

学术文献翻译模型,支持多种主流文档格式。

立即体验