• 文献检索
  • 文档翻译
  • 深度研究
  • 学术资讯
  • Suppr Zotero 插件Zotero 插件
  • 邀请有礼
  • 套餐&价格
  • 历史记录
应用&插件
Suppr Zotero 插件Zotero 插件浏览器插件Mac 客户端Windows 客户端微信小程序
定价
高级版会员购买积分包购买API积分包
服务
文献检索文档翻译深度研究API 文档MCP 服务
关于我们
关于 Suppr公司介绍联系我们用户协议隐私条款
关注我们

Suppr 超能文献

核心技术专利:CN118964589B侵权必究
粤ICP备2023148730 号-1Suppr @ 2026

文献检索

告别复杂PubMed语法,用中文像聊天一样搜索,搜遍4000万医学文献。AI智能推荐,让科研检索更轻松。

立即免费搜索

文件翻译

保留排版,准确专业,支持PDF/Word/PPT等文件格式,支持 12+语言互译。

免费翻译文档

深度研究

AI帮你快速写综述,25分钟生成高质量综述,智能提取关键信息,辅助科研写作。

立即免费体验

基因组风险评分提供了与缺血性中风临床危险因素相当的预测性能。

Genomic risk score offers predictive performance comparable to clinical risk factors for ischaemic stroke.

机构信息

Cambridge Baker Systems Genomics Initiative, Baker Heart and Diabetes Institute, Melbourne, VIC, Australia.

Cambridge Baker Systems Genomics Initiative, Department of Public Health and Primary Care, University of Cambridge, Cambridge, UK.

出版信息

Nat Commun. 2019 Dec 20;10(1):5819. doi: 10.1038/s41467-019-13848-1.

DOI:10.1038/s41467-019-13848-1
PMID:31862893
原文链接:https://pmc.ncbi.nlm.nih.gov/articles/PMC6925280/
Abstract

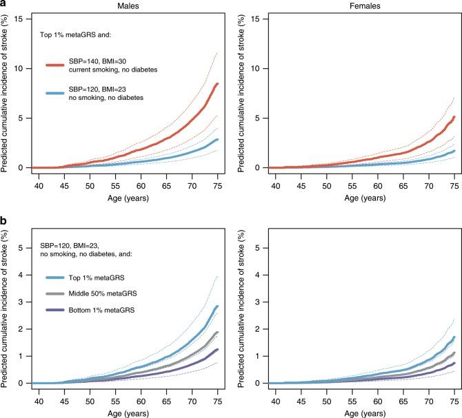
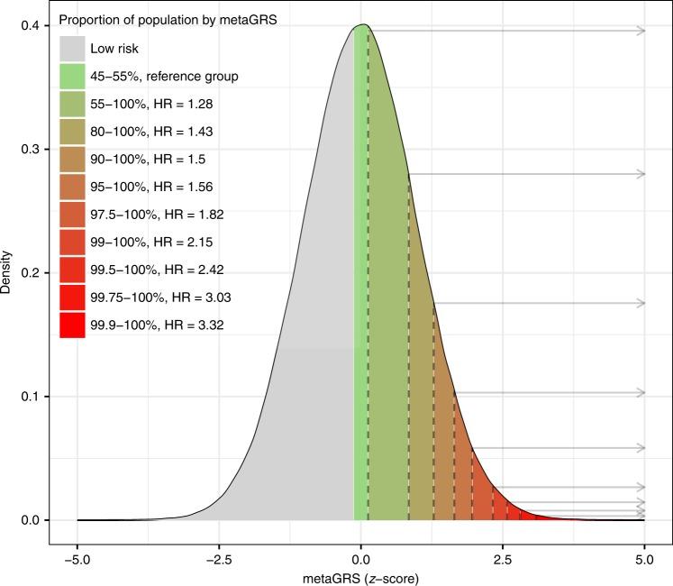
Recent genome-wide association studies in stroke have enabled the generation of genomic risk scores (GRS) but their predictive power has been modest compared to established stroke risk factors. Here, using a meta-scoring approach, we develop a metaGRS for ischaemic stroke (IS) and analyse this score in the UK Biobank (n = 395,393; 3075 IS events by age 75). The metaGRS hazard ratio for IS (1.26, 95% CI 1.22-1.31 per metaGRS standard deviation) doubles that of a previous GRS, identifying a subset of individuals at monogenic levels of risk: the top 0.25% of metaGRS have three-fold risk of IS. The metaGRS is similarly or more predictive compared to several risk factors, such as family history, blood pressure, body mass index, and smoking. We estimate the reductions needed in modifiable risk factors for individuals with different levels of genomic risk and suggest that, for individuals with high metaGRS, achieving risk factor levels recommended by current guidelines may be insufficient to mitigate risk.

摘要

最近的中风全基因组关联研究使得能够生成基因组风险评分(GRS),但与已确立的中风风险因素相比,其预测能力相当有限。在这里,我们使用荟萃评分方法,为缺血性中风(IS)开发了一个荟萃 GRS,并在英国生物库中对该评分进行了分析(n=395393;75 岁时 3075 例 IS 事件)。荟萃 GRS 与 IS 的风险比为 1.26(每荟萃 GRS 标准差增加 1.22-1.31),是之前 GRS 的两倍,确定了处于单基因风险水平的个体亚组:荟萃 GRS 最高的 0.25%人群发生 IS 的风险增加三倍。与其他风险因素(如家族史、血压、体重指数和吸烟)相比,荟萃 GRS 的预测能力相似或更高。我们估计了不同基因组风险水平个体需要降低的可改变风险因素,并建议对于具有高荟萃 GRS 的个体,达到当前指南推荐的风险因素水平可能不足以降低风险。

https://cdn.ncbi.nlm.nih.gov/pmc/blobs/846a/6925280/5007a758acdb/41467_2019_13848_Fig5_HTML.jpg
https://cdn.ncbi.nlm.nih.gov/pmc/blobs/846a/6925280/269136775004/41467_2019_13848_Fig1_HTML.jpg
https://cdn.ncbi.nlm.nih.gov/pmc/blobs/846a/6925280/3328358dfe2e/41467_2019_13848_Fig2_HTML.jpg
https://cdn.ncbi.nlm.nih.gov/pmc/blobs/846a/6925280/560f93d98145/41467_2019_13848_Fig3_HTML.jpg
https://cdn.ncbi.nlm.nih.gov/pmc/blobs/846a/6925280/bc7f2e4dd341/41467_2019_13848_Fig4_HTML.jpg
https://cdn.ncbi.nlm.nih.gov/pmc/blobs/846a/6925280/5007a758acdb/41467_2019_13848_Fig5_HTML.jpg
https://cdn.ncbi.nlm.nih.gov/pmc/blobs/846a/6925280/269136775004/41467_2019_13848_Fig1_HTML.jpg
https://cdn.ncbi.nlm.nih.gov/pmc/blobs/846a/6925280/3328358dfe2e/41467_2019_13848_Fig2_HTML.jpg
https://cdn.ncbi.nlm.nih.gov/pmc/blobs/846a/6925280/560f93d98145/41467_2019_13848_Fig3_HTML.jpg
https://cdn.ncbi.nlm.nih.gov/pmc/blobs/846a/6925280/bc7f2e4dd341/41467_2019_13848_Fig4_HTML.jpg
https://cdn.ncbi.nlm.nih.gov/pmc/blobs/846a/6925280/5007a758acdb/41467_2019_13848_Fig5_HTML.jpg

相似文献

1
Genomic risk score offers predictive performance comparable to clinical risk factors for ischaemic stroke.基因组风险评分提供了与缺血性中风临床危险因素相当的预测性能。
Nat Commun. 2019 Dec 20;10(1):5819. doi: 10.1038/s41467-019-13848-1.
2
Genomic Risk Prediction of Coronary Artery Disease in 480,000 Adults: Implications for Primary Prevention.对 480,000 名成年人的冠心病的基因组风险预测:对一级预防的影响。
J Am Coll Cardiol. 2018 Oct 16;72(16):1883-1893. doi: 10.1016/j.jacc.2018.07.079.
3
Genomic risk score provides predictive performance for type 2 diabetes in the UK biobank.基因组风险评分可预测英国生物库中的 2 型糖尿病。
Acta Diabetol. 2021 Apr;58(4):467-474. doi: 10.1007/s00592-020-01650-1. Epub 2021 Jan 3.
4
A Genomic Risk Score Identifies Individuals at High Risk for Intracerebral Hemorrhage.一项基因组风险评分可识别脑出血高危个体。
Stroke. 2023 Apr;54(4):973-982. doi: 10.1161/STROKEAHA.122.041701. Epub 2023 Feb 17.
5
Recurrent Stroke Prediction by Applying a Stroke Polygenic Risk Score in the Japanese Population.在日本人群中应用卒中多基因风险评分预测复发性卒中
Stroke. 2025 Jun;56(6):1483-1491. doi: 10.1161/STROKEAHA.124.047786. Epub 2025 Mar 26.
6
Multilocus genetic risk score associates with ischemic stroke in case-control and prospective cohort studies.多基因遗传风险评分与病例对照和前瞻性队列研究中的缺血性卒中相关。
Stroke. 2014 Feb;45(2):394-402. doi: 10.1161/STROKEAHA.113.002938. Epub 2014 Jan 16.
7
Genetic Risk Score for Intracranial Aneurysms: Prediction of Subarachnoid Hemorrhage and Role in Clinical Heterogeneity.颅内动脉瘤的遗传风险评分:蛛网膜下腔出血的预测及临床异质性中的作用。
Stroke. 2023 Mar;54(3):810-818. doi: 10.1161/STROKEAHA.122.040715. Epub 2023 Jan 19.
8
Polygenic prediction of breast cancer: comparison of genetic predictors and implications for risk stratification.多基因预测乳腺癌:遗传预测因子的比较及风险分层的意义。
BMC Cancer. 2019 Jun 10;19(1):557. doi: 10.1186/s12885-019-5783-1.
9
Association of Body Mass Index With Cardiometabolic Disease in the UK Biobank: A Mendelian Randomization Study.英国生物库中体重指数与心脏代谢疾病的关联:一项孟德尔随机化研究。
JAMA Cardiol. 2017 Aug 1;2(8):882-889. doi: 10.1001/jamacardio.2016.5804.
10
Derivation and validation of QStroke score for predicting risk of ischaemic stroke in primary care and comparison with other risk scores: a prospective open cohort study.基于初级保健的 QStroke 评分预测缺血性卒中风险的推导和验证,并与其他风险评分比较:一项前瞻性开放队列研究。
BMJ. 2013 May 2;346:f2573. doi: 10.1136/bmj.f2573.

引用本文的文献

1
Identifying novel modifiable risk factors for ischemic stroke through phenome-wide association study and Mendelian randomization analyses in a large-scale prospective cohort.通过全表型组关联研究和孟德尔随机化分析在大规模前瞻性队列中识别缺血性中风新的可改变风险因素。
Geroscience. 2025 Sep 17. doi: 10.1007/s11357-025-01891-4.
2
Decoding Stroke Etiology: Multi-Omics Advancements in Genetic Mechanisms and Clinical Implication.解码中风病因:遗传机制与临床意义的多组学进展
Brain Behav. 2025 Sep;15(9):e70792. doi: 10.1002/brb3.70792.
3
Polygenic Scores of Core-1 Alzheimer's Disease Biomarkers Predict Early Cognitive and Pathological Change.

本文引用的文献

1
Validation of Genome-Wide Polygenic Risk Scores for Coronary Artery Disease in French Canadians.验证全基因组多基因风险评分在法裔加拿大人冠状动脉疾病中的作用。
Circ Genom Precis Med. 2019 Jun;12(6):e002481. doi: 10.1161/CIRCGEN.119.002481. Epub 2019 Jun 11.
2
Stroke genetics: discovery, biology, and clinical applications.中风遗传学:发现、生物学和临床应用。
Lancet Neurol. 2019 Jun;18(6):587-599. doi: 10.1016/S1474-4422(19)30043-2. Epub 2019 Apr 8.
3
Global, regional, and national burden of stroke, 1990-2016: a systematic analysis for the Global Burden of Disease Study 2016.
核心1型阿尔茨海默病生物标志物的多基因评分预测早期认知和病理变化。
medRxiv. 2025 Jul 14:2025.07.12.25331438. doi: 10.1101/2025.07.12.25331438.
4
Impact of genetic risk and lifestyles on cardiovascular disease-free and total life expectancy: a cohort study.遗传风险和生活方式对无心血管疾病预期寿命和总预期寿命的影响:一项队列研究。
Genome Med. 2025 Jul 22;17(1):81. doi: 10.1186/s13073-025-01487-9.
5
MetaGeno: a chromosome-wise multi-task genomic framework for ischaemic stroke risk prediction.MetaGeno:一种用于缺血性中风风险预测的染色体级多任务基因组框架。
Brief Bioinform. 2025 Jul 2;26(4). doi: 10.1093/bib/bbaf348.
6
Influence of lifestyle risk factors and genetic predisposition on metabolic syndrome risk in Korean adults.生活方式风险因素和遗传易感性对韩国成年人代谢综合征风险的影响。
Sci Rep. 2025 Jul 5;15(1):24060. doi: 10.1038/s41598-025-07369-9.
7
Genetic Risk and Prognosis of the First Incident Stroke Survivors: Findings from China Kadoorie Biobank and UK Biobank.首次发生卒中幸存者的遗传风险与预后:来自中国嘉道理生物银行及英国生物银行的研究发现
Neurology. 2025 Jul 22;105(2):e213832. doi: 10.1212/WNL.0000000000213832. Epub 2025 Jun 27.
8
Performance of deep-learning-based approaches to improve polygenic scores.基于深度学习的方法在提高多基因评分方面的表现。
Nat Commun. 2025 Jun 2;16(1):5122. doi: 10.1038/s41467-025-60056-1.
9
Evaluation of Machine Learning and Traditional Statistical Models to Assess the Value of Stroke Genetic Liability for Prediction of Risk of Stroke Within the UK Biobank.评估机器学习和传统统计模型以评估中风遗传易感性在英国生物银行中对中风风险预测的价值。
Healthcare (Basel). 2025 Apr 26;13(9):1003. doi: 10.3390/healthcare13091003.
10
Meta-prediction of coronary artery disease risk.冠状动脉疾病风险的元预测
Nat Med. 2025 Apr 16. doi: 10.1038/s41591-025-03648-0.
全球、区域和国家卒中负担,1990-2016 年:2016 年全球疾病负担研究的系统分析。
Lancet Neurol. 2019 May;18(5):439-458. doi: 10.1016/S1474-4422(19)30034-1. Epub 2019 Mar 11.
4
Apparent latent structure within the UK Biobank sample has implications for epidemiological analysis.英国生物库样本中明显的潜在结构对流行病学分析有影响。
Nat Commun. 2019 Jan 18;10(1):333. doi: 10.1038/s41467-018-08219-1.
5
Whole-Genome Sequencing to Characterize Monogenic and Polygenic Contributions in Patients Hospitalized With Early-Onset Myocardial Infarction.全基因组测序分析早发性心肌梗死住院患者中单基因和多基因的作用。
Circulation. 2019 Mar 26;139(13):1593-1602. doi: 10.1161/CIRCULATIONAHA.118.035658.
6
Atrial fibrillation genetic risk differentiates cardioembolic stroke from other stroke subtypes.房颤遗传风险可区分心源性栓塞性卒中与其他卒中亚型。
Neurol Genet. 2018 Dec 3;4(6):e293. doi: 10.1212/NXG.0000000000000293. eCollection 2018 Dec.
7
Trans-ethnic association study of blood pressure determinants in over 750,000 individuals.超过 75 万人的血压决定因素的跨种族关联研究。
Nat Genet. 2019 Jan;51(1):51-62. doi: 10.1038/s41588-018-0303-9. Epub 2018 Dec 21.
8
Genome-wide meta-analysis identifies 3 novel loci associated with stroke.全基因组荟萃分析确定 3 个与中风相关的新位点。
Ann Neurol. 2018 Dec;84(6):934-939. doi: 10.1002/ana.25369. Epub 2018 Nov 30.
9
Genetic risk, incident stroke, and the benefits of adhering to a healthy lifestyle: cohort study of 306 473 UK Biobank participants.遗传风险、卒中事件与健康生活方式获益:306473 名英国生物库参与者的队列研究。
BMJ. 2018 Oct 24;363:k4168. doi: 10.1136/bmj.k4168.
10
Genomic Risk Prediction of Coronary Artery Disease in 480,000 Adults: Implications for Primary Prevention.对 480,000 名成年人的冠心病的基因组风险预测:对一级预防的影响。
J Am Coll Cardiol. 2018 Oct 16;72(16):1883-1893. doi: 10.1016/j.jacc.2018.07.079.