Suppr超能文献

食管癌的生物信息学分析揭示了一种用于预测预后的综合mRNA-lncRNA特征。

Bioinformatics analysis of esophageal cancer unveils an integrated mRNA-lncRNA signature for predicting prognosis.

作者信息

Lan Tian, Xiao Zunqiang, Luo Hua, Su Kunlun, Yang Ouou, Zhan Chengni, Lu Yunyan

机构信息

Department of Breast Surgery, Hangzhou Hospital of Traditional Chinese Medicine, Hangzhou, Zhejiang 310007, P.R. China.

The Second Clinical Medical College, Zhejiang Chinese Medical University, Hangzhou, Zhejiang 310053, P.R. China.

出版信息

Oncol Lett. 2020 Feb;19(2):1434-1442. doi: 10.3892/ol.2019.11208. Epub 2019 Dec 11.

Abstract

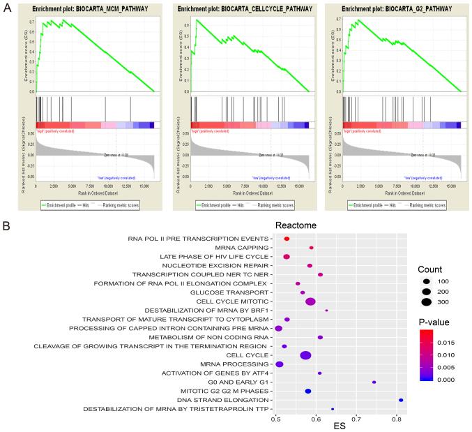
Esophageal cancer (ESCA) carries a poor prognosis among gastrointestinal malignancies. The present study developed a signature based on mRNAs and long non-coding RNAs (lncRNAs) to predict prognosis in ESCA by using The Cancer Genome Atlas database. By using least absolute shrinkage and selection operator penalized regression, a set of RNAs (three mRNAs and two lncRNAs) was identified and used to build a risk score system of ESCA prognosis, which was used to stratify patients having considerable diverse survival in the training set [hazard ratio (HR), 3.932; 95% CI, 1.555-9.944; P<0.002] into high- and low-risk groups. The authentication of the results was achieved through the test set (HR, 3.150; 95% CI, 1.113-8.918; P<0.02) and the entire set (HR, 3.181; 95% CI, 1.686-6.006; P<0.0002). The results from multivariate Cox proportional hazard regression analysis in the entire set suggested that the prognostic significance of this signature may be independent of patients' clinicopathological characteristics. Furthermore, this signature was associated with several molecular signaling pathways of cancer according to Gene Set Enrichment Analysis. In addition, a nomogram was built and the risk score and TNM stage were integrated to estimate the 1- and 3-year overall survival rates. The results from the present study demonstrated that the integrated mRNA-lncRNA signature may be considered as a novel biomarker for the prognosis of ESCA.

摘要

食管癌(ESCA)在胃肠道恶性肿瘤中预后较差。本研究利用癌症基因组图谱数据库,开发了一种基于mRNA和长链非编码RNA(lncRNA)的特征,用于预测ESCA的预后。通过使用最小绝对收缩和选择算子惩罚回归,鉴定出一组RNA(三个mRNA和两个lncRNA),并用于构建ESCA预后的风险评分系统,该系统用于将训练集中具有显著不同生存率的患者[风险比(HR),3.932;95%置信区间,1.555 - 9.944;P < 0.002]分为高风险组和低风险组。通过测试集(HR,3.150;95%置信区间,1.113 - 8.918;P < 0.02)和整个数据集(HR,3.181;95%置信区间,1.686 - 6.006;P < 0.0002)实现了结果验证。整个数据集中多变量Cox比例风险回归分析的结果表明,该特征的预后意义可能独立于患者的临床病理特征。此外,根据基因集富集分析,该特征与癌症的几种分子信号通路相关。此外,构建了列线图,并整合了风险评分和TNM分期以估计1年和3年总生存率。本研究结果表明,整合的mRNA-lncRNA特征可被视为ESCA预后的一种新型生物标志物。

https://cdn.ncbi.nlm.nih.gov/pmc/blobs/90ca/6956414/326fdc435186/ol-19-02-1434-g00.jpg

文献AI研究员

20分钟写一篇综述,助力文献阅读效率提升50倍。

立即体验

用中文搜PubMed

大模型驱动的PubMed中文搜索引擎

马上搜索

文档翻译

学术文献翻译模型,支持多种主流文档格式。

立即体验