Suppr超能文献

使用飞秒荧光上转换技术探测硫取代的 DNA 和 RNA 单体的激发态寿命。

Excited State Lifetimes of Sulfur-Substituted DNA and RNA Monomers Probed Using the Femtosecond Fluorescence Up-Conversion Technique.

机构信息

Department of Chemistry, Case Western Reserve University, 10900 Euclid Ave., Cleveland, OH 44106, USA.

LIDYL, CEA, CNRS, Université Paris-Saclay, F-91191 Gif-sur-Yvette, France.

出版信息

Molecules. 2020 Jan 29;25(3):584. doi: 10.3390/molecules25030584.

Abstract

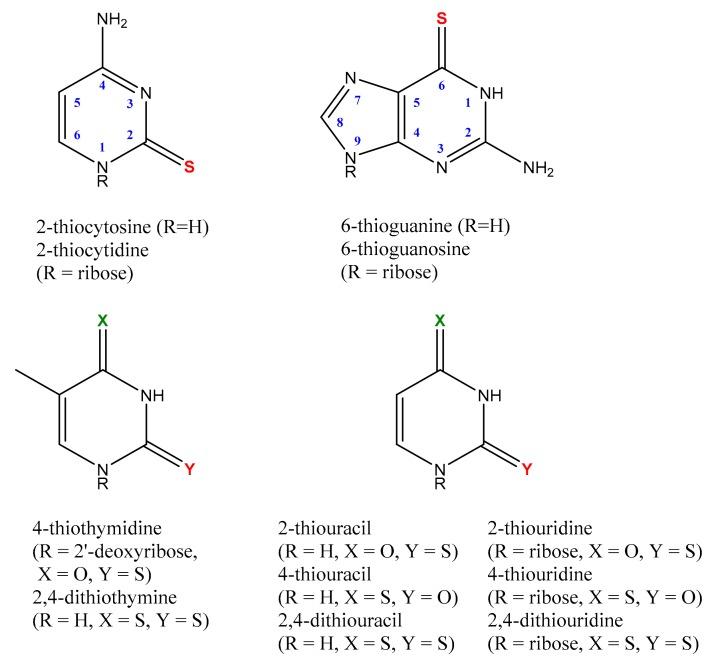
Sulfur-substituted DNA and RNA nucleobase derivatives (a.k.a., thiobases) are an important family of biomolecules. They are used as prodrugs and as chemotherapeutic agents in medical settings, and as photocrosslinker molecules in structural-biology applications. Remarkably, excitation of thiobases with ultraviolet to near-visible light results in the population of long-lived and reactive triplet states on a time scale of hundreds of femtoseconds and with near-unity yields. This efficient nonradiative decay pathway explains the vanishingly small fluorescence yields reported for the thiobases and the scarcity of fluorescence lifetimes in the literature. In this study, we report fluorescence lifetimes for twelve thiobase derivatives, both in aqueous solution at physiological pH and in acetonitrile. Excitation is performed at 267 and 362 nm, while fluorescence emission is detected at 380, 425, 450, 525, or 532 nm. All the investigated thiobases reveal fluorescence lifetimes that decay in a few hundreds of femtoseconds and with magnitudes that depend and are sensitive to the position and degree of sulfur-atom substitution and on the solvent environment. Interestingly, however, three thiopyrimidine derivatives (i.e., 2-thiocytidine, 2-thiouridine, and 4-thiothymidine) also exhibit a small amplitude fluorescence component of a few picoseconds in aqueous solution. Furthermore, the glycosylation of thiobases to form DNA or RNA nucleoside analogues is demonstrated as affecting their fluorescence lifetimes. In aqueous solution, the fluorescence decay signals exciting at 267 nm are equal or slower than those collected exciting at 362 nm. In acetonitrile, however, the fluorescence decay signals recorded upon 267 nm excitation are, in all cases, faster than those measured exciting at 362 nm. A comparison to the literature values show that, while both the DNA and RNA nucleobase and thiobase derivatives exhibit sub-picosecond fluorescence lifetimes, the ππ* excited-state population in the nucleobase monomers primarily decay back to the ground state, whereas it predominantly populates long-lived and reactive triplet states in thiobase monomers.

摘要

硫代 DNA 和 RNA 碱基衍生物(又称硫碱基)是一类重要的生物分子。它们在医学环境中被用作前药和化疗药物,在结构生物学应用中被用作光交联分子。值得注意的是,用紫外至近可见光激发硫碱基会导致长寿命和反应性三重态在数百飞秒的时间尺度上以接近 100%的产率形成。这种有效的非辐射衰减途径解释了报道的硫碱基的荧光产率非常低,以及文献中荧光寿命稀缺的原因。在这项研究中,我们报告了 12 种硫碱基衍生物在生理 pH 值的水溶液中和乙腈中的荧光寿命。激发在 267nm 和 362nm 进行,而荧光发射在 380nm、425nm、450nm、525nm 或 532nm 处检测。所有研究的硫碱基都显示出在几百飞秒内衰减的荧光寿命,其大小取决于和对硫原子取代的位置和程度以及溶剂环境敏感。然而,有趣的是,三种硫嘧啶衍生物(即 2-硫胞苷、2-硫尿苷和 4-硫胸腺嘧啶)在水溶液中也显示出几个皮秒的小振幅荧光分量。此外,形成 DNA 或 RNA 核苷类似物的硫碱基的糖基化被证明会影响它们的荧光寿命。在水溶液中,用 267nm 激发的荧光衰减信号与用 362nm 激发的信号相等或更慢。然而,在乙腈中,在所有情况下,用 267nm 激发记录的荧光衰减信号都比用 362nm 激发测量的信号更快。与文献值的比较表明,虽然 DNA 和 RNA 碱基和硫碱基衍生物都表现出亚皮秒级的荧光寿命,但在碱基单体中,ππ*激发态的布居主要回落到基态,而在硫碱基单体中,它主要布居长寿命和反应性三重态。

https://cdn.ncbi.nlm.nih.gov/pmc/blobs/a4f0/7037914/a4047ccfaff8/molecules-25-00584-sch001.jpg

文献AI研究员

20分钟写一篇综述,助力文献阅读效率提升50倍。

立即体验

用中文搜PubMed

大模型驱动的PubMed中文搜索引擎

马上搜索

文档翻译

学术文献翻译模型,支持多种主流文档格式。

立即体验