Xu Xingchen, Liu Daoxin, Zhang Xiaohua, Liu Chengsong, Liu Dan, Ma Amin
Corrosion and Protection Research Laboratory, Northwestern Polytechnical University, Xi'an 710072, China.
Materials (Basel). 2020 Feb 6;13(3):738. doi: 10.3390/ma13030738.
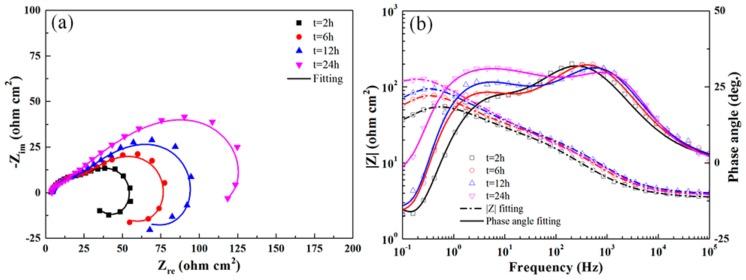
The effects of an ultrasonic surface rolling process (USRP) on the localized corrosion behavior of 7B50-T7751 aluminum alloy in a sodium chloride + hydrogen peroxide solution were investigated through microstructural observation, immersion testing, and electrochemical measurements. The results revealed that this alloy is prone to pitting. However, the localized corrosion resistance can be significantly improved via both one-pass USRP and 12-pass USRP treatment. Furthermore, in the test solution, the thickness and the acceptor density of the passivation film were affected by the USRP treatment. The improved corrosion resistance of one-pass USRP-treated samples resulted mainly from the introduced compressive residual stress. However, this stress played a secondary role in the considerable enhancement observed for the corrosion resistance of the 12-pass USRP-treated samples. This enhancement is attributed primarily to the nanocrystalline surface and homogeneous surface microstructure induced by the multiple-pass USRP treatment.