Suppr超能文献

具有三种自旋为1的原子的玻色-爱因斯坦凝聚体的自旋结构。

Spin-structures of the Bose-Einstein condensates with three kinds of spin-1 atoms.

作者信息

He Y Z, Liu Y M, Bao C G

机构信息

School of Physics, Sun Yat-Sen University, Guangzhou, 510275, P.R. China.

Department of physics, Shaoguan University, Shaoguan, 510205, P.R. China.

出版信息

Sci Rep. 2020 Feb 17;10(1):2727. doi: 10.1038/s41598-020-59540-z.

Abstract

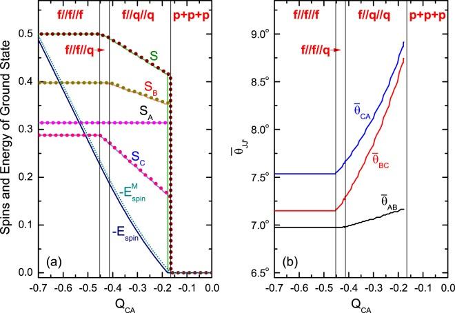
We have performed a quantum mechanic calculation (including solving the coupled Gross-Pitaevskii equations to obtain the spatial wave functions, and diagonalizing the spin-dependent Hamiltonian in the spin-space to obtain the total spin state) together with an analytical analysis based on a classical model. Then, according to the relative orientations of the spins S, S and S of the three species, the spin-structures of the ground state can be classified into two types. In Type-I the three spins are either parallel or anti-parallel to each other, while in Type-II they point to different directions but remain to be coplanar. Moreover, according to the magnitudes of S, S and S, the spin-structures can be further classified into four kinds, namely, p + p + p (all atoms of each species are in singlet-pairs), one species in f (fully polarized) and two species in q (a mixture of polarized atoms and singlet-pairs), two in f and one in q, and f + f + f. Other combinations are not allowed. The scopes of the parameters that supports a specific spin-structure have been specified. A number of spin-structure-transitions have been found. For Type-I, the critical values at which a transition takes place are given by simple analytical formulae, therefore these values can be predict.

摘要

我们进行了量子力学计算(包括求解耦合的格罗斯 - 皮塔耶夫斯基方程以获得空间波函数,以及在自旋空间中对自旋相关的哈密顿量进行对角化以获得总自旋态),并结合基于经典模型的解析分析。然后,根据三种粒子的自旋(S_1)、(S_2)和(S_3)的相对取向,基态的自旋结构可分为两种类型。在I型中,三个自旋彼此平行或反平行,而在II型中,它们指向不同方向但仍共面。此外,根据(S_1)、(S_2)和(S_3)的大小,自旋结构可进一步分为四种,即(p + p + p)(每种粒子的所有原子都处于单重态对)、一种粒子处于(f)(完全极化)且两种粒子处于(q)(极化原子和单重态对的混合物)、两种处于(f)且一种处于(q),以及(f + f + f)。不允许其他组合。已经指定了支持特定自旋结构的参数范围。发现了许多自旋结构转变。对于I型,发生转变的临界值由简单的解析公式给出,因此这些值可以预测。

https://cdn.ncbi.nlm.nih.gov/pmc/blobs/e715/7026445/ec8c95286997/41598_2020_59540_Fig1_HTML.jpg

文献AI研究员

20分钟写一篇综述,助力文献阅读效率提升50倍。

立即体验

用中文搜PubMed

大模型驱动的PubMed中文搜索引擎

马上搜索

文档翻译

学术文献翻译模型,支持多种主流文档格式。

立即体验