Suppr超能文献

植物区系地理学与向日葵( L.)的进化历史:野生多样性与驯化的动态。

Phylogeography and the Evolutionary History of Sunflower ( L.): Wild Diversity and the Dynamics of Domestication.

机构信息

Department of Plant Biology, University of Georgia, Miller Plant Sciences Bldg., Athens, GA 30602, USA.

出版信息

Genes (Basel). 2020 Feb 29;11(3):266. doi: 10.3390/genes11030266.

Abstract

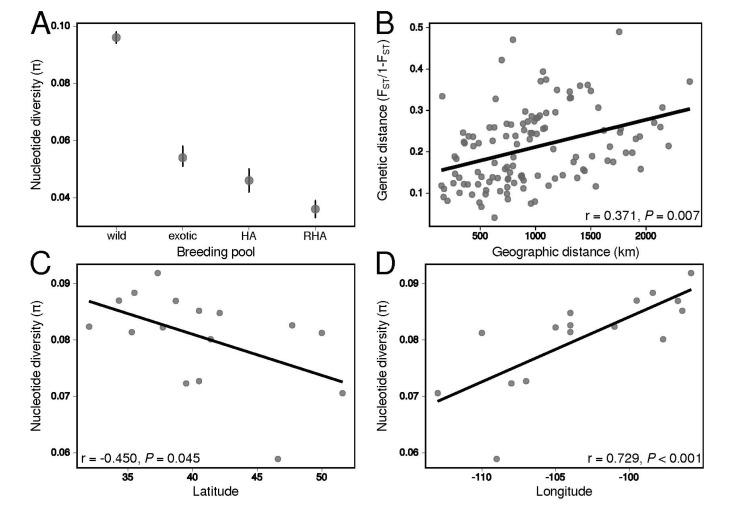
Patterns of genetic variation in crops are the result of selection and demographic changes that occurred during their domestication and improvement. In many cases, we have an incomplete picture of the origin of crops in the context of their wild progenitors, particularly with regard to the processes producing observed levels of standing genetic variation. Here, we analyzed sequence diversity in cultivated sunflower (Helianthus annuus L.) and its wild progenitor (common sunflower, also H. annuus) to reconstruct phylogeographic relationships and population genetic/demographic patterns across sunflower. In common sunflower, south-north patterns in the distribution of nucleotide diversity and lineage splitting indicate a history of rapid postglacial range expansion from southern refugia. Cultivated sunflower accessions formed a clade, nested among wild populations from the Great Plains, confirming a single domestication event in central North America. Furthermore, cultivated accessions sorted by market type (i.e., oilseed vs. confectionery) rather than breeding pool, recapitulating the secondary development of oil-rich cultivars during its breeding history. Across sunflower, estimates of nucleotide diversity and effective population sizes suggest that cultivated sunflower underwent significant population bottlenecks following its establishment ~5000 years ago. The patterns inferred here corroborate those from previous studies of sunflower domestication, and provide a comprehensive overview of its evolutionary history.

摘要

作物的遗传变异模式是其在驯化和改良过程中发生的选择和人口变化的结果。在许多情况下,我们对作物在其野生祖先背景下的起源了解不完整,特别是在产生观察到的遗传变异水平的过程方面。在这里,我们分析了栽培向日葵(Helianthus annuus L.)及其野生祖先(普通向日葵,也称为 H. annuus)的序列多样性,以重建向日葵的系统地理关系和种群遗传/人口模式。在普通向日葵中,核苷酸多样性和谱系分裂的分布呈现南北模式,表明经历了快速的冰川后范围扩张,起源于南部避难所。栽培向日葵品系形成一个分支,嵌套在大平原的野生种群中,证实了北美中部的单一驯化事件。此外,根据市场类型(即油籽与糖果)而不是育种群体对栽培品系进行分类,这反映了在其育种历史中富含油的品种的二次发展。在向日葵中,核苷酸多样性和有效种群大小的估计表明,在大约 5000 年前建立后,栽培向日葵经历了显著的种群瓶颈。这里推断出的模式与先前对向日葵驯化的研究结果一致,并提供了其进化历史的全面概述。

https://cdn.ncbi.nlm.nih.gov/pmc/blobs/ba79/7140811/375347094dca/genes-11-00266-g001.jpg

文献AI研究员

20分钟写一篇综述,助力文献阅读效率提升50倍。

立即体验

用中文搜PubMed

大模型驱动的PubMed中文搜索引擎

马上搜索

文档翻译

学术文献翻译模型,支持多种主流文档格式。

立即体验