• 文献检索
  • 文档翻译
  • 深度研究
  • 学术资讯
  • Suppr Zotero 插件Zotero 插件
  • 邀请有礼
  • 套餐&价格
  • 历史记录
应用&插件
Suppr Zotero 插件Zotero 插件浏览器插件Mac 客户端Windows 客户端微信小程序
定价
高级版会员购买积分包购买API积分包
服务
文献检索文档翻译深度研究API 文档MCP 服务
关于我们
关于 Suppr公司介绍联系我们用户协议隐私条款
关注我们

Suppr 超能文献

核心技术专利:CN118964589B侵权必究
粤ICP备2023148730 号-1Suppr @ 2026

文献检索

告别复杂PubMed语法,用中文像聊天一样搜索,搜遍4000万医学文献。AI智能推荐,让科研检索更轻松。

立即免费搜索

文件翻译

保留排版,准确专业,支持PDF/Word/PPT等文件格式,支持 12+语言互译。

免费翻译文档

深度研究

AI帮你快速写综述,25分钟生成高质量综述,智能提取关键信息,辅助科研写作。

立即免费体验

严重烧伤患者高代谢与高钠血症的关系。

The Link between Hypermetabolism and Hypernatremia in Severely Burned Patients.

机构信息

Department of General and Surgical Critical Care Medicine, Innsbruck Medical University Hospital, Anichstr. 35, 6020 Innsbruck, Austria.

出版信息

Nutrients. 2020 Mar 15;12(3):774. doi: 10.3390/nu12030774.

DOI:10.3390/nu12030774
PMID:32183417
原文链接:https://pmc.ncbi.nlm.nih.gov/articles/PMC7146173/
Abstract

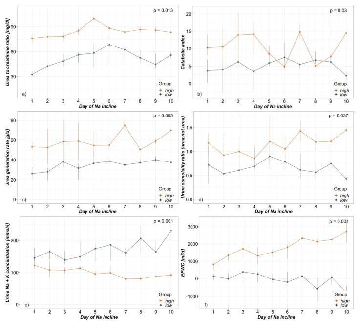
Hypernatremia is common in critical care, especially in severely burned patients. Its occurrence has been linked to increased mortality. Causes of hypernatremia involve a net gain of sodium or a loss of free water. Renal loss of electrolyte-free water due to urea-induced osmotic diuresis has been described as causative in up to 10% of hypernatremic critical ill patients. In this context, excessive urea production due to protein catabolism acts as major contributor. In severe burn injury, muscle wasting occurs as result of hypermetabolism triggered by ongoing systemic inflammation. In this retrospective study, severely burned patients were analysed for the occurrence of hypernatremia and subsequent signs of hypermetabolism. The urea: creatinine ratio-as a surrogate for hypermetabolism-sufficiently discriminated between two groups. Four of nine hypernatremic burn patients (44%) had a highly elevated urea: creatinine ratio, which was clearly associated with an increased urea production and catabolic index. This hypermetabolism was linked to hypernatremia via an elevated urea- and reduced electrolyte-fraction in renal osmole excretion, which resulted in an increased renal loss of electrolyte-free water. In hypermetabolic severely burned patients, the electrolyte-free water clearance is a major contributor to hypernatremia. A positive correlation to serum sodium concentration was shown.

摘要

高钠血症在重症监护中很常见,特别是在严重烧伤患者中。其发生与死亡率增加有关。高钠血症的病因涉及钠的净增加或游离水的丢失。由于尿素诱导的渗透性利尿导致电解质自由水的肾丢失,已被描述为高达 10%的高钠血症重症患者的病因。在这种情况下,由于蛋白质分解代谢导致的过量尿素产生是主要原因。在严重烧伤中,由于持续的全身炎症引起的高代谢,肌肉消耗发生。在这项回顾性研究中,分析了严重烧伤患者高钠血症的发生情况以及随后的高代谢迹象。尿素:肌酐比值作为高代谢的替代指标,足以将两组区分开来。9 名高钠血症烧伤患者中有 4 名(44%)尿素:肌酐比值明显升高,这与尿素产生增加和分解代谢指数增加明显相关。这种高代谢通过肾脏渗透溶质排泄中升高的尿素和降低的电解质分数与高钠血症相关,导致电解质自由水的肾脏丢失增加。在高代谢性严重烧伤患者中,电解质自由水清除率是高钠血症的主要原因。结果显示与血清钠浓度呈正相关。

https://cdn.ncbi.nlm.nih.gov/pmc/blobs/2232/7146173/1318dfedec8a/nutrients-12-00774-g003.jpg
https://cdn.ncbi.nlm.nih.gov/pmc/blobs/2232/7146173/e4433ffe423c/nutrients-12-00774-g001.jpg
https://cdn.ncbi.nlm.nih.gov/pmc/blobs/2232/7146173/cee4812d91e7/nutrients-12-00774-g002.jpg
https://cdn.ncbi.nlm.nih.gov/pmc/blobs/2232/7146173/1318dfedec8a/nutrients-12-00774-g003.jpg
https://cdn.ncbi.nlm.nih.gov/pmc/blobs/2232/7146173/e4433ffe423c/nutrients-12-00774-g001.jpg
https://cdn.ncbi.nlm.nih.gov/pmc/blobs/2232/7146173/cee4812d91e7/nutrients-12-00774-g002.jpg
https://cdn.ncbi.nlm.nih.gov/pmc/blobs/2232/7146173/1318dfedec8a/nutrients-12-00774-g003.jpg

相似文献

1
The Link between Hypermetabolism and Hypernatremia in Severely Burned Patients.严重烧伤患者高代谢与高钠血症的关系。
Nutrients. 2020 Mar 15;12(3):774. doi: 10.3390/nu12030774.
2
Hypervolemic hypernatremia is the most common type of hypernatremia in the intensive care unit.高血容量性高钠血症是重症监护病房中最常见的高钠血症类型。
Int Urol Nephrol. 2015 Nov;47(11):1817-21. doi: 10.1007/s11255-015-1103-0. Epub 2015 Sep 16.
3
The role of urea-induced osmotic diuresis and hypernatremia in a critically ill patient: case report and literature review.尿素诱导的渗透性利尿和高钠血症在危重症患者中的作用:病例报告及文献复习。
J Bras Nefrol. 2020 Mar;42(1):106-112. doi: 10.1590/2175-8239-JBN-2018-0226. Epub 2019 Apr 25.
4
Electrolyte-free water clearance: a key to the diagnosis of hypernatremia in resolving acute renal failure.无电解质水清除率:解决急性肾衰竭时高钠血症诊断的关键。
Clin Exp Nephrol. 2008 Feb;12(1):74-8. doi: 10.1007/s10157-007-0021-6. Epub 2008 Jan 9.
5
Osmotic diuresis due to urea as the cause of hypernatraemia in critically ill patients.危重病患者因尿素导致的渗透性利尿和高钠血症。
Nephrol Dial Transplant. 2012 Mar;27(3):962-7. doi: 10.1093/ndt/gfr428. Epub 2011 Aug 2.
6
Hypernatremic state in hypermetabolic burn patients.高代谢烧伤患者的高钠血症状态
Arch Surg. 1973 Apr;106(4):420-7. doi: 10.1001/archsurg.1973.01350160038006.
7
Hypervolemic hypernatremia in patients recovering from acute kidney injury in the intensive care unit.在重症监护病房中从急性肾损伤中恢复的患者中出现高血容量性高钠血症。
Clin Exp Nephrol. 2012 Feb;16(1):136-46. doi: 10.1007/s10157-011-0537-7. Epub 2011 Sep 27.
8
Osmotic diuresis-induced hypernatremia: better explained by solute-free water clearance or electrolyte-free water clearance?渗透性利尿引起的高钠血症:溶质清除率还是电解质清除率能更好地解释?
Int Urol Nephrol. 2014 Jan;46(1):207-10. doi: 10.1007/s11255-012-0353-3. Epub 2013 Jan 20.
9
Continuous veno-venous hemofiltration in the treatment of severely burned patients with acute hypernatremia: A retrospective study of 13 cases.持续静静脉血液滤过治疗重度烧伤合并急性高钠血症患者:13例回顾性研究
Int J Artif Organs. 2020 Jun;43(6):416-421. doi: 10.1177/0391398819893381. Epub 2019 Dec 18.
10
ICU-Acquired Hypernatremia Is Associated with Persistent Inflammation, Immunosuppression and Catabolism Syndrome.重症监护病房获得性高钠血症与持续性炎症、免疫抑制和分解代谢综合征相关。
J Clin Med. 2020 Sep 18;9(9):3017. doi: 10.3390/jcm9093017.

引用本文的文献

1
The Urea-Creatinine Ratio as Marker of Catabolism Is Affected by Continuous Renal Replacement Therapy.作为分解代谢标志物的尿素-肌酐比值受连续性肾脏替代治疗的影响。
Diagnostics (Basel). 2025 Jun 1;15(11):1408. doi: 10.3390/diagnostics15111408.
2
The Impact of Protein Feed on the Urea-to-Creatinine Ratio-A Retrospective Single-Center Study.蛋白质饲料对尿素与肌酐比值的影响——一项回顾性单中心研究
Nutrients. 2025 Apr 8;17(8):1293. doi: 10.3390/nu17081293.
3
ICU-Acquired Hypernatremia Is Associated with Persistent Inflammation, Immunosuppression and Catabolism Syndrome.

本文引用的文献

1
The urea-creatinine ratio as a novel biomarker of critical illness-associated catabolism.尿素-肌酐比值作为危重症相关分解代谢的新型生物标志物。
Intensive Care Med. 2019 Dec;45(12):1813-1815. doi: 10.1007/s00134-019-05810-y. Epub 2019 Oct 16.
2
Elevated urea-to-creatinine ratio provides a biochemical signature of muscle catabolism and persistent critical illness after major trauma.尿素-肌酐比值升高提供了肌肉分解代谢和重大创伤后持续严重疾病的生化特征。
Intensive Care Med. 2019 Dec;45(12):1718-1731. doi: 10.1007/s00134-019-05760-5. Epub 2019 Sep 17.
3
Energy Expenditure and Protein Requirements Following Burn Injury.
重症监护病房获得性高钠血症与持续性炎症、免疫抑制和分解代谢综合征相关。
J Clin Med. 2020 Sep 18;9(9):3017. doi: 10.3390/jcm9093017.
烧伤后的能量消耗和蛋白质需求。
Nutr Clin Pract. 2019 Oct;34(5):673-680. doi: 10.1002/ncp.10390. Epub 2019 Aug 16.
4
The role of the musculoskeletal system in post-burn hypermetabolism.肌肉骨骼系统在烧伤后代谢亢进中的作用。
Metabolism. 2019 Aug;97:81-86. doi: 10.1016/j.metabol.2019.06.001. Epub 2019 Jun 8.
5
The role of urea-induced osmotic diuresis and hypernatremia in a critically ill patient: case report and literature review.尿素诱导的渗透性利尿和高钠血症在危重症患者中的作用:病例报告及文献复习。
J Bras Nefrol. 2020 Mar;42(1):106-112. doi: 10.1590/2175-8239-JBN-2018-0226. Epub 2019 Apr 25.
6
Risk factors and outcome of Hypernatremia amongst severe adult burn patients.成年重度烧伤患者高钠血症的危险因素及预后
Ann Burns Fire Disasters. 2018 Dec 31;31(4):271-277.
7
Hypernatremia due to Urea-Induced Osmotic Diuresis: Physiology at the Bedside.尿素诱导的渗透性利尿所致高钠血症:床边生理学
Indian J Crit Care Med. 2018 Sep;22(9):664-669. doi: 10.4103/ijccm.IJCCM_266_18.
8
Maintenance fluid therapy and fluid creep impose more significant fluid, sodium, and chloride burdens than resuscitation fluids in critically ill patients: a retrospective study in a tertiary mixed ICU population.在危重症患者中,维持液治疗和液流蠕动比复苏液带来更大的液体、钠和氯负担:一项在三级混合 ICU 人群中的回顾性研究。
Intensive Care Med. 2018 Apr;44(4):409-417. doi: 10.1007/s00134-018-5147-3. Epub 2018 Mar 27.
9
Amino acid supplements in critically ill patients.危重症患者的氨基酸补充。
Pharmacol Res. 2018 Apr;130:127-131. doi: 10.1016/j.phrs.2017.12.007. Epub 2017 Dec 6.
10
Sodium variability is associated with increased mortality in severe burn injury.钠变异性与严重烧伤患者死亡率增加相关。
Burns Trauma. 2017 Nov 6;5:34. doi: 10.1186/s41038-017-0098-4. eCollection 2017.