• 文献检索
  • 文档翻译
  • 深度研究
  • 学术资讯
  • Suppr Zotero 插件Zotero 插件
  • 邀请有礼
  • 套餐&价格
  • 历史记录
应用&插件
Suppr Zotero 插件Zotero 插件浏览器插件Mac 客户端Windows 客户端微信小程序
定价
高级版会员购买积分包购买API积分包
服务
文献检索文档翻译深度研究API 文档MCP 服务
关于我们
关于 Suppr公司介绍联系我们用户协议隐私条款
关注我们

Suppr 超能文献

核心技术专利:CN118964589B侵权必究
粤ICP备2023148730 号-1Suppr @ 2026

文献检索

告别复杂PubMed语法,用中文像聊天一样搜索,搜遍4000万医学文献。AI智能推荐,让科研检索更轻松。

立即免费搜索

文件翻译

保留排版,准确专业,支持PDF/Word/PPT等文件格式,支持 12+语言互译。

免费翻译文档

深度研究

AI帮你快速写综述,25分钟生成高质量综述,智能提取关键信息,辅助科研写作。

立即免费体验

用于晚期非小细胞肺癌(NSCLC)治疗早期反应捕获的新型液体生物标志物组

Novel Liquid Biomarker Panels for A Very Early Response Capturing of NSCLC Therapies in Advanced Stages.

作者信息

Janke Florian, Bozorgmehr Farastuk, Wrenger Sabine, Dietz Steffen, Heussel Claus P, Heussel Gudula, Silva Carlos F, Rheinheimer Stephan, Feisst Manuel, Thomas Michael, Golpon Heiko, Günther Andreas, Sültmann Holger, Muley Thomas, Janciauskiene Sabina, Meister Michael, Schneider Marc A

机构信息

Division Cancer Genome Research, German Cancer Research Center (DKFZ), INF 280, 69120 Heidelberg, Germany.

German Cancer Consortium (DKTK), INF 280, 69120 Heidelberg, Germany.

出版信息

Cancers (Basel). 2020 Apr 12;12(4):954. doi: 10.3390/cancers12040954.

DOI:10.3390/cancers12040954
PMID:
32290637
原文链接:https://pmc.ncbi.nlm.nih.gov/articles/PMC7226444/
Abstract

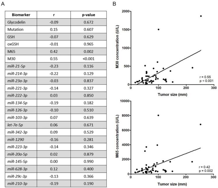
Computed tomography (CT) scans are the gold standard to measure treatment success of non-small cell lung cancer (NSCLC) therapies. Here, we investigated the very early tumor response of patients receiving chemotherapy or targeted therapies using a panel of already established and explorative liquid biomarkers. Blood samples from 50 patients were taken at baseline and at three early time points after therapy initiation. DNA mutations, a panel of 17 microRNAs, glycodelin, glutathione disulfide, glutathione, soluble caspase-cleaved cytokeratin 18 (M30 antigen), and soluble cytokeratin 18 (M65 antigen) were measured in serum and plasma samples. Baseline and first follow-up CT scans were evaluated and correlated with biomarker data. The detection rate of the individual biomarkers was between 56% and 100%. While only keratin 18 correlated with the tumor load at baseline, we found several individual markers correlating with the tumor response to treatment for each of the three time points of blood draws. A combination of the five best markers at each time point resulted in highly significant marker panels indicating therapeutic response (R = 0.78, R = 0.71, and R = 0.71). Our study demonstrates that an early measurement of biomarkers immediately after therapy start can assess tumor response to treatment and might support an adaptation of treatment to improve patients' outcome.

摘要

计算机断层扫描(CT)是衡量非小细胞肺癌(NSCLC)治疗效果的金标准。在此,我们使用一组已确立的和探索性的液体生物标志物,研究了接受化疗或靶向治疗患者的极早期肿瘤反应。在基线期以及治疗开始后的三个早期时间点采集了50名患者的血样。对血清和血浆样本检测了DNA突变、一组17种微小RNA、糖蛋白1、谷胱甘肽二硫化物、谷胱甘肽、可溶性半胱天冬酶切割的细胞角蛋白18(M30抗原)以及可溶性细胞角蛋白18(M65抗原)。对基线期和首次随访的CT扫描进行了评估,并与生物标志物数据进行关联分析。各个生物标志物的检测率在56%至100%之间。虽然只有角蛋白18与基线期肿瘤负荷相关,但我们发现,在采血的三个时间点中的每个时间点,都有几种单独的标志物与肿瘤对治疗的反应相关。在每个时间点将五个最佳标志物组合起来,得到了高度显著的指示治疗反应的标志物组(R = 0.78、R = 0.71和R = 0.71)。我们的研究表明,在治疗开始后立即对生物标志物进行早期检测,可以评估肿瘤对治疗的反应,并可能有助于调整治疗方案以改善患者的预后。

https://cdn.ncbi.nlm.nih.gov/pmc/blobs/5836/7226444/088ffc6379eb/cancers-12-00954-g005.jpg
https://cdn.ncbi.nlm.nih.gov/pmc/blobs/5836/7226444/f70588de4b4b/cancers-12-00954-g001.jpg
https://cdn.ncbi.nlm.nih.gov/pmc/blobs/5836/7226444/14bf16974a51/cancers-12-00954-g002.jpg
https://cdn.ncbi.nlm.nih.gov/pmc/blobs/5836/7226444/778eac6b7e13/cancers-12-00954-g003.jpg
https://cdn.ncbi.nlm.nih.gov/pmc/blobs/5836/7226444/b31c3e773eca/cancers-12-00954-g004.jpg
https://cdn.ncbi.nlm.nih.gov/pmc/blobs/5836/7226444/088ffc6379eb/cancers-12-00954-g005.jpg
https://cdn.ncbi.nlm.nih.gov/pmc/blobs/5836/7226444/f70588de4b4b/cancers-12-00954-g001.jpg
https://cdn.ncbi.nlm.nih.gov/pmc/blobs/5836/7226444/14bf16974a51/cancers-12-00954-g002.jpg
https://cdn.ncbi.nlm.nih.gov/pmc/blobs/5836/7226444/778eac6b7e13/cancers-12-00954-g003.jpg
https://cdn.ncbi.nlm.nih.gov/pmc/blobs/5836/7226444/b31c3e773eca/cancers-12-00954-g004.jpg
https://cdn.ncbi.nlm.nih.gov/pmc/blobs/5836/7226444/088ffc6379eb/cancers-12-00954-g005.jpg

相似文献

1
Novel Liquid Biomarker Panels for A Very Early Response Capturing of NSCLC Therapies in Advanced Stages.用于晚期非小细胞肺癌(NSCLC)治疗早期反应捕获的新型液体生物标志物组
Cancers (Basel). 2020 Apr 12;12(4):954. doi: 10.3390/cancers12040954.
2
M30/M65 ratio predicts the outcome of paclitaxel chemotherapy for NSCLC.M30/M65比值可预测非小细胞肺癌患者紫杉醇化疗的疗效。
Clin Transl Oncol. 2017 Mar;19(3):326-331. doi: 10.1007/s12094-016-1533-x. Epub 2016 Jul 28.
3
Cytokeratin-18 fragments predict treatment response and overall survival in gastric cancer in a randomized controlled trial.在一项随机对照试验中,细胞角蛋白-18片段可预测胃癌的治疗反应和总生存期。
Tumour Biol. 2018 Mar;40(3):1010428318764007. doi: 10.1177/1010428318764007.
4
Clinical evaluation of M30 and M65 ELISA cell death assays as circulating biomarkers in a drug-sensitive tumor, testicular cancer.M30和M65 ELISA细胞死亡检测作为药物敏感型肿瘤——睾丸癌循环生物标志物的临床评估
Neoplasia. 2008 Oct;10(10):1041-8. doi: 10.1593/neo.08620.
5
Caspase-cleaved cytokeratin 18 fragment (M30) as marker of postoperative residual tumor load in colon cancer patients.半胱天冬酶切割的细胞角蛋白18片段(M30)作为结肠癌患者术后残余肿瘤负荷的标志物。
Eur J Surg Oncol. 2009 Nov;35(11):1164-8. doi: 10.1016/j.ejso.2009.02.007. Epub 2009 Feb 28.
6
Glycodelin as a Serum and Tissue Biomarker for Metastatic and Advanced NSCLC.糖蛋白15作为转移性和晚期非小细胞肺癌的血清及组织生物标志物
Cancers (Basel). 2018 Dec 4;10(12):486. doi: 10.3390/cancers10120486.
7
Elevated serum levels of M30 and M65 in patients with locally advanced head and neck tumors.局部晚期头颈部肿瘤患者血清 M30 和 M65 水平升高。
Int Immunopharmacol. 2009 May;9(5):645-8. doi: 10.1016/j.intimp.2009.02.004. Epub 2009 Feb 26.
8
Assessment of lung cancer response after nonoperative therapy: tumor diameter, bidimensional product, and volume. A serial CT scan-based study.非手术治疗后肺癌反应的评估:肿瘤直径、二维乘积和体积。一项基于CT扫描序列的研究。
Int J Radiat Oncol Biol Phys. 2001 Sep 1;51(1):56-61. doi: 10.1016/s0360-3016(01)01615-7.
9
Circulating Levels of M30 and M65 Molecules in Transitional Cell Carcinoma of the Bladder and Their Relation to Tumor Progression.膀胱移行细胞癌中M30和M65分子的循环水平及其与肿瘤进展的关系。
Iran J Cancer Prev. 2016 Apr 24;9(2):e4086. doi: 10.17795/ijcp-4086. eCollection 2016 Apr.
10
Utilization of cytokeratin-based biomarkers for pharmacodynamic studies.细胞角蛋白生物标志物在药效学研究中的应用。
Expert Rev Mol Diagn. 2010 Apr;10(3):353-9. doi: 10.1586/erm.10.14.

引用本文的文献

1
Diagnostic and Predictive Biomarkers in Lung Cancer.肺癌的诊断和预测生物标志物
Cancers (Basel). 2021 May 25;13(11):2577. doi: 10.3390/cancers13112577.
2
Genetic Markers in Lung Cancer Diagnosis: A Review.肺癌诊断中的遗传标志物:综述。
Int J Mol Sci. 2020 Jun 27;21(13):4569. doi: 10.3390/ijms21134569.

本文引用的文献

1
Identification of potential microRNAs and their targets in promoting gefitinib resistance by integrative network analysis.通过整合网络分析鉴定促进吉非替尼耐药的潜在微小RNA及其靶标
J Thorac Dis. 2019 Dec;11(12):5535-5546. doi: 10.21037/jtd.2019.11.25.
2
Identification of differentially expressed circulating serum microRNA for the diagnosis and prognosis of Indian non-small cell lung cancer patients.鉴定用于诊断和预测印度非小细胞肺癌患者的差异表达循环血清 microRNA。
Curr Probl Cancer. 2020 Aug;44(4):100540. doi: 10.1016/j.currproblcancer.2020.100540. Epub 2020 Jan 23.
3
Cancer statistics, 2020.
癌症统计数据,2020 年。
CA Cancer J Clin. 2020 Jan;70(1):7-30. doi: 10.3322/caac.21590. Epub 2020 Jan 8.
4
Liquid Biopsy in Non-Small Cell Lung Cancer: Highlights and Challenges.非小细胞肺癌中的液体活检:要点与挑战
Cancers (Basel). 2019 Dec 19;12(1):17. doi: 10.3390/cancers12010017.
5
Serum microRNA Signature Is Capable of Early Diagnosis for Non-Small Cell Lung Cancer.血清 microRNA 特征可用于非小细胞肺癌的早期诊断。
Int J Biol Sci. 2019 Jun 10;15(8):1712-1722. doi: 10.7150/ijbs.33986. eCollection 2019.
6
Are There New Biomarkers in Tissue and Liquid Biopsies for the Early Detection of Non-Small Cell Lung Cancer?组织活检和液体活检中是否存在用于早期检测非小细胞肺癌的新型生物标志物?
J Clin Med. 2019 Mar 26;8(3):414. doi: 10.3390/jcm8030414.
7
Circulating miRNA-21 and miRNA-23a Expression Signature as Potential Biomarkers for Early Detection of Non-Small-Cell Lung Cancer.循环miRNA-21和miRNA-23a表达特征作为非小细胞肺癌早期检测的潜在生物标志物
Microrna. 2019;8(3):206-215. doi: 10.2174/1573399815666190115151500.
8
Glycodelin as a Serum and Tissue Biomarker for Metastatic and Advanced NSCLC.糖蛋白15作为转移性和晚期非小细胞肺癌的血清及组织生物标志物
Cancers (Basel). 2018 Dec 4;10(12):486. doi: 10.3390/cancers10120486.
9
MiR-29c reduces the cisplatin resistance of non-small cell lung cancer cells by negatively regulating the PI3K/Akt pathway.miR-29c 通过负向调控 PI3K/Akt 通路降低非小细胞肺癌细胞对顺铂的耐药性。
Sci Rep. 2018 May 22;8(1):8007. doi: 10.1038/s41598-018-26381-w.
10
Mechanisms of acquired resistance to first- and second-generation EGFR tyrosine kinase inhibitors.获得性耐药的机制对第一代和第二代 EGFR 酪氨酸激酶抑制剂。
Ann Oncol. 2018 Jan 1;29(suppl_1):i10-i19. doi: 10.1093/annonc/mdx703.