Imaging Media Research Center, Korea Institute of Science and Technology (KIST), Seoul 02792, Korea.
Sensors (Basel). 2020 Apr 16;20(8):2264. doi: 10.3390/s20082264.
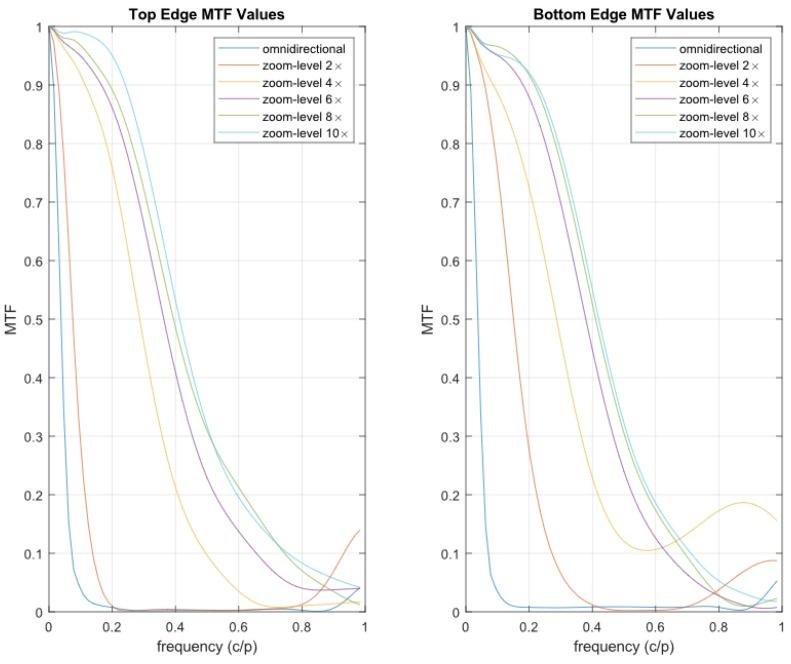
Pan-tilt-zoom (PTZ) and omnidirectional cameras serve as a video-mediated communication interface for telemedicine. Most cases use either PTZ or omnidirectional cameras exclusively; even when used together, images from the two are shown separately on 2D displays. Conventional foveated imaging techniques may offer a solution for exploiting the benefits of both cameras, i.e., the high resolution of the PTZ camera and the wide field-of-view of the omnidirectional camera, but displaying the unified image on a 2D display would reduce the benefit of "omni-" directionality. In this paper, we introduce a foveated imaging pipeline designed to support virtual reality head-mounted displays (HMDs). The pipeline consists of two parallel processes: one for estimating parameters for the integration of the two images and another for rendering images in real time. A control mechanism for placing the foveal region (i.e., high-resolution area) in the scene and zooming is also proposed. Our evaluations showed that the proposed pipeline achieved, on average, 17 frames per second when rendering the foveated view on an HMD, and showed angular resolution improvement on the foveal region compared with the omnidirectional camera view. However, the improvement was less significant when the zoom level was 8× and more. We discuss possible improvement points and future research directions.
(PTZ)和全景摄像机作为远程医疗的视频介导通信接口。大多数情况下,要么使用 PTZ 摄像机,要么使用全景摄像机;即使同时使用,这两种摄像机的图像也会分别在 2D 显示器上显示。传统的注视点成像技术可能为充分利用这两种摄像机的优势提供了一种解决方案,即 PTZ 摄像机的高分辨率和全景摄像机的宽视场,但在 2D 显示器上显示统一的图像会降低“全向”方向性的优势。在本文中,我们介绍了一种注视点成像管道,旨在支持虚拟现实头戴式显示器(HMD)。该管道由两个并行的过程组成:一个用于估计集成两个图像的参数,另一个用于实时渲染图像。我们还提出了一种用于放置场景中注视区(即高分辨率区域)和缩放的控制机制。我们的评估表明,当在 HMD 上呈现注视视图时,所提出的管道平均每秒渲染 17 帧,并与全景摄像机视图相比,在注视区域显示出了角分辨率的提高。然而,当缩放级别为 8×及更高时,改进不那么显著。我们讨论了可能的改进点和未来的研究方向。