Suppr超能文献

来自斯瓦尔巴群岛的有孔虫沉积DNA(DNA)序列数据集。

Dataset of foraminiferal sedimentary DNA (DNA) sequences from Svalbard.

作者信息

Pawłowska Joanna, Pawlowski Jan, Zajączkowski Marek

机构信息

Institute of Oceanology Polish Academy of Sciences, Sopot 81-712, Poland.

Department of Genetics and Evolution, University of Geneva, Geneva CH 1211, Switzerland.

出版信息

Data Brief. 2020 Apr 18;30:105553. doi: 10.1016/j.dib.2020.105553. eCollection 2020 Jun.

Abstract

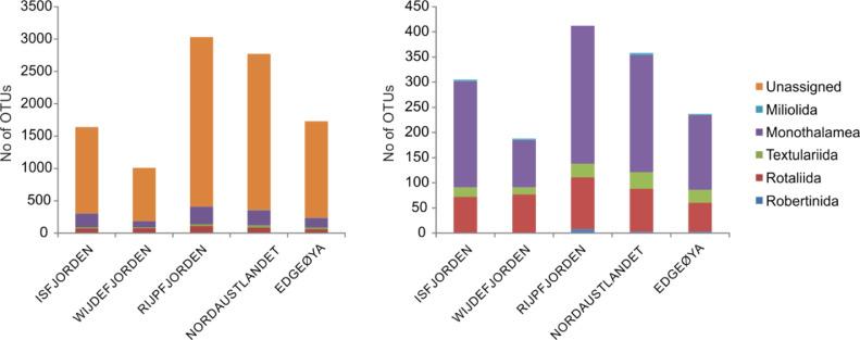
Environmental DNA (DNA) is usually defined as genetic material obtained directly from environmental samples, such as soil, water, or ice. Coupled to DNA metabarcoding, DNA is a powerful tool in biodiversity assessments. Results from eDNA approach provided valuable insights to the studies of past and contemporary biodiversity in terrestrial and aquatic environments. However, the state and fate of DNA are still investigated and the knowledge about the form of DNA (i.e., extracellular vs. intracellular) or the DNA degradation under different environmental conditions is limited. Here, we tackle this issue by analyzing foraminiferal sedimentary DNA (DNA) from different size fractions of marine sediments: >500 µm, 500-100 µm, 100-63 µm, and < 63 µm. Surface sediment samples were collected at 15 sampling stations located in the Svalbard archipelago. Sequences of the foraminifera-specific 37f region were generated using Illumina technology. The presented data may be used as a reference for a wide range of DNA-based studies, including biomonitoring and biodiversity assessments across time and space.

摘要

环境DNA(eDNA)通常被定义为直接从环境样本(如土壤、水或冰)中获取的遗传物质。与DNA宏条形码技术相结合,eDNA是生物多样性评估中的一种强大工具。eDNA方法的结果为陆地和水生环境中过去和当代生物多样性的研究提供了有价值的见解。然而,DNA的状态和归宿仍在研究中,关于DNA的形式(即细胞外与细胞内)或不同环境条件下DNA降解的知识有限。在这里,我们通过分析来自海洋沉积物不同粒径级分(>500μm、500 - 100μm、100 - 63μm和<63μm)的有孔虫沉积DNA来解决这个问题。在斯瓦尔巴群岛的15个采样站采集了表层沉积物样本。使用Illumina技术生成了有孔虫特异性37f区域的序列。所呈现的数据可作为广泛基于DNA的研究的参考,包括跨时间和空间的生物监测和生物多样性评估。

https://cdn.ncbi.nlm.nih.gov/pmc/blobs/c5e4/7182674/aed9b3b95ec9/gr1.jpg

文献AI研究员

20分钟写一篇综述,助力文献阅读效率提升50倍。

立即体验

用中文搜PubMed

大模型驱动的PubMed中文搜索引擎

马上搜索

文档翻译

学术文献翻译模型,支持多种主流文档格式。

立即体验