Suppr超能文献

()引力中的非静态量子启发时空:引力的彩虹

A non-static quantum inspired spacetime in () gravity: Gravity's rainbow.

作者信息

Rudra Prabir

机构信息

Department of Mathematics, Asutosh College, Kolkata-700 026, India.

出版信息

Nucl Phys B. 2020 Jul;956:115014. doi: 10.1016/j.nuclphysb.2020.115014. Epub 2020 Apr 10.

Abstract

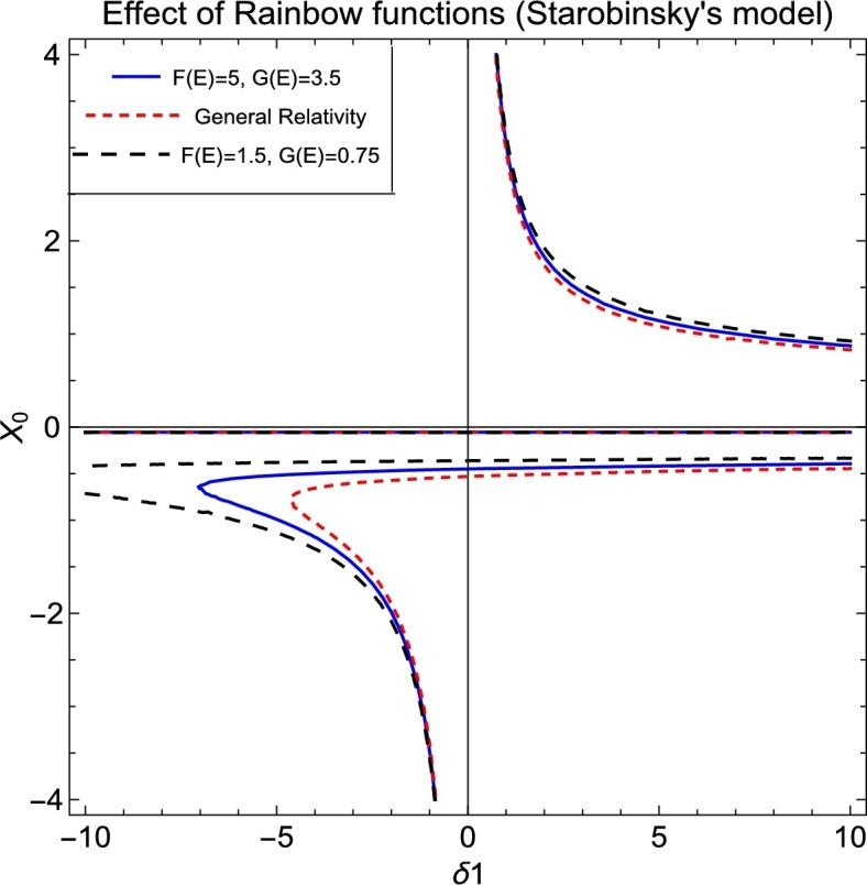
In this note we explore a non-static spacetime in quantum regime in the background of gravity. The time dependent Vaidya metric which represents the spacetime of a radiating body like star is studied in an energy dependent gravity's rainbow, which is a UV completion of General Relativity. In our quest we have used gravitational collapse as the main tool. The focus is to probe the nature of singularity (black hole or naked singularity) formed out of the collapsing procedure. This is achieved via a geodesic study. For our investigation we have considered two different models of gravity, namely the inflationary Starobinsky's model and the power law model. Our study reveals the fact that naked singularity is as good a possibility as black hole as far as the central singularity is concerned. Via a proper fine tuning of the initial data, we may realize both black hole or naked singularity as the end state of the collapse. Thus this study is extremely important and relevant in the light of the Cosmic Censorship hypothesis. The most important result derived from the study is that gravity's rainbow increases the tendency of formation of naked singularities. We have also deduced the conditions under which the singularity will be a strong or weak curvature singularity. Finally in our quest to know more about the model we have performed a thermodynamical study. Throughout the study we have obtained results which involve deviation from the classical set-up. Such deviations are expected in a quantum evolution and can be attributed to the quantum fluctuations that our model suffers from. It is expected that this study will enhance our knowledge about quantization of gravity and subsequently about the illusive theory of quantum gravity.

摘要

在本笔记中,我们在引力背景下探索量子 regime 中的非静态时空。研究了表示恒星等辐射体时空的含时 Vaidya 度规,该度规处于能量依赖型引力彩虹中,而能量依赖型引力彩虹是广义相对论的紫外完备化。在我们的探索中,我们将引力坍缩作为主要工具。重点是探究坍缩过程中形成的奇点(黑洞或裸奇点)的性质。这是通过测地线研究来实现的。为了我们的研究,我们考虑了两种不同的引力模型,即暴胀的 Starobinsky 模型和幂律模型。我们的研究揭示了这样一个事实:就中心奇点而言,裸奇点与黑洞出现的可能性一样大。通过对初始数据进行适当的微调,我们可以实现黑洞或裸奇点作为坍缩的最终状态。因此,鉴于宇宙审查假说,这项研究极其重要且相关。该研究得出的最重要结果是,引力彩虹增加了裸奇点形成的趋势。我们还推导了奇点将是强曲率奇点或弱曲率奇点的条件。最后,为了更多地了解该模型,我们进行了热力学研究。在整个研究过程中,我们获得的结果涉及与经典设定的偏差。这种偏差在量子演化中是预期会出现的,并且可归因于我们模型所遭受的量子涨落。预计这项研究将增进我们对引力量子化的了解,并进而增进对难以捉摸的量子引力理论的了解。

https://cdn.ncbi.nlm.nih.gov/pmc/blobs/9e9a/7195019/eef1b49df6f7/gr001_lrg.jpg

文献检索

告别复杂PubMed语法,用中文像聊天一样搜索,搜遍4000万医学文献。AI智能推荐,让科研检索更轻松。

立即免费搜索

文件翻译

保留排版,准确专业,支持PDF/Word/PPT等文件格式,支持 12+语言互译。

免费翻译文档

深度研究

AI帮你快速写综述,25分钟生成高质量综述,智能提取关键信息,辅助科研写作。

立即免费体验