Suppr超能文献

细胞内共生体以剂量依赖的方式增强重组。

The Intracellular Symbiont Enhances Recombination in a Dose-Dependent Manner.

作者信息

Bryant Kaeli N, Newton Irene L G

机构信息

Department of Biology, Indiana University, 1001 E 3rd Street, Bloomington, IN 47405, USA.

出版信息

Insects. 2020 May 6;11(5):284. doi: 10.3390/insects11050284.

Abstract

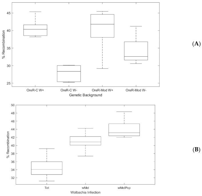
is an intracellular alphaproteobacterium that infects 40%-60% of insect species and is well known for host reproductive manipulations. Although are primarily maternally transmitted, evidence of horizontal transmission can be found in incongruent host-symbiont phylogenies and recent acquisitions of the same strain by distantly related species. Parasitoids and predator-prey interactions may indeed facilitate the transfer of between insect lineages, but it is likely that are acquired via introgression in many cases. Many hypotheses exist to explain prevalence and penetrance, such as nutritional supplementation, protection from parasites, protection from viruses, or direct reproductive parasitism. Using classical genetics, we show that increase recombination in infected lineages across two genomic intervals. This increase in recombination is titer-dependent as the MelPop variant, which infects at higher load in , increases recombination 5% more than the Mel variant. In addition, we also show that another bacterial intracellular symbiont of , does not induce an increase in recombination. Our results suggest that infection specifically alters its host's recombination landscape in a dose-dependent manner.

摘要

是一种细胞内α变形菌,感染40%-60%的昆虫物种,并以操控宿主繁殖而闻名。虽然主要通过母系传播,但在不一致的宿主-共生体系统发育以及远缘物种最近获得相同菌株的情况中可以发现水平传播的证据。寄生蜂和捕食者-猎物相互作用确实可能促进昆虫谱系之间的转移,但在许多情况下,可能是通过基因渗入获得的。存在许多假说来解释其流行率和渗透率,例如营养补充、抵御寄生虫、抵御病毒或直接的繁殖寄生。使用经典遗传学方法,我们发现会增加感染谱系在两个基因组区间的重组。这种重组增加是滴度依赖性的,因为在果蝇中感染负荷更高的MelPop变体比Mel变体使重组增加5%。此外,我们还表明,果蝇的另一种细胞内细菌共生体不会诱导重组增加。我们的结果表明,感染以剂量依赖的方式特异性地改变其宿主的重组格局。

https://cdn.ncbi.nlm.nih.gov/pmc/blobs/0a0a/7290356/e5d39f135d63/insects-11-00284-g001.jpg

文献检索

告别复杂PubMed语法,用中文像聊天一样搜索,搜遍4000万医学文献。AI智能推荐,让科研检索更轻松。

立即免费搜索

文件翻译

保留排版,准确专业,支持PDF/Word/PPT等文件格式,支持 12+语言互译。

免费翻译文档

深度研究

AI帮你快速写综述,25分钟生成高质量综述,智能提取关键信息,辅助科研写作。

立即免费体验