Suppr超能文献

离子液体与聚合离子液体中离子传输的比较。

Comparing ion transport in ionic liquids and polymerized ionic liquids.

作者信息

Xiao Wangchuan, Yang Quan, Zhu Shenlin

机构信息

School of Resources and Chemical Engineering, Sanming University, Fujian, 365004, China.

Department of Chemical Engineering, Tsinghua University, Beijing, 100084, China.

出版信息

Sci Rep. 2020 May 8;10(1):7825. doi: 10.1038/s41598-020-64689-8.

Abstract

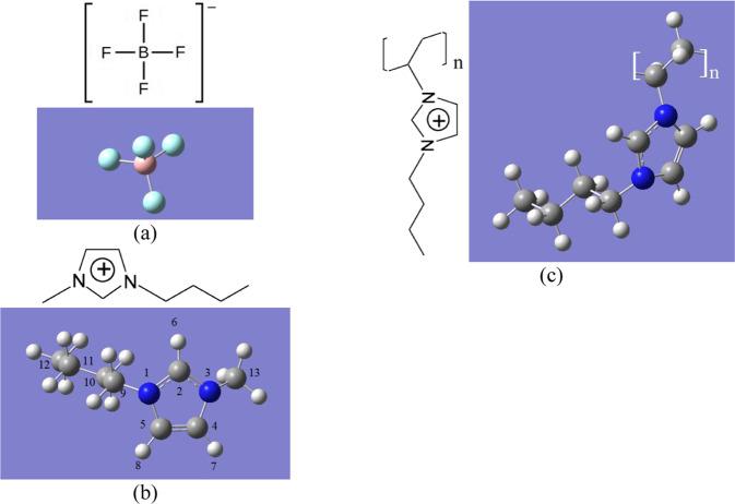
Polymerized ionic liquids (polyILs) combine the unique properties of ionic liquids (ILs) with macromolecular polymers. But anion diffusivities in polyILs can be three orders of magnitude lower than that in ILs. Endeavors to improve ion transport in polyILs urgently need in-depth insights of ion transport in polyILs. As such in the work we compared ion transport in poly (1-butyl-3-vinylimidazolium-tetrafluoroborate) (poly ([BVIM]-[BF])) polyIL and 1-butyl-3-methylimidazolium tetrafluoroborate ([BMIM]-[BF]) IL. The diffusivities of ions in the polyIL and IL were measured and computed. According to the results of the molecular dynamics simulations performed, in the IL the coupling motion between an anion and the ions around determines the ion diffusivities, and the ion association lifetime gives the time scale of ion transport. But in the polyIL, the hopping of an anion among cages composed of cationic branch chains determines the diffusivity, and the associated anion transport time scale is the trap time, which is the time when an anion is caught inside a cage, not the ion association lifetime, as Mogurampelly et al. regarded. The calculation results of average displacements (ADs) of the polyIL chains show that, besides free volume fraction, average amplitudes of the oscillation of chains and chain translation speed lead to various diffusivities at various temperatures.

摘要

聚合离子液体(polyILs)将离子液体(ILs)的独特性质与大分子聚合物相结合。但polyILs中的阴离子扩散率可能比ILs中的低三个数量级。迫切需要深入了解polyILs中的离子传输,以努力改善其离子传输性能。因此,在这项工作中,我们比较了聚(1-丁基-3-乙烯基咪唑四氟硼酸盐)(聚([BVIM]-[BF]))polyIL和1-丁基-3-甲基咪唑四氟硼酸盐([BMIM]-[BF])IL中的离子传输。测量并计算了polyIL和IL中离子的扩散率。根据所进行的分子动力学模拟结果,在IL中,阴离子与周围离子之间的耦合运动决定了离子扩散率,离子缔合寿命给出了离子传输的时间尺度。但在polyIL中,阴离子在由阳离子支链组成的笼之间的跳跃决定了扩散率,相关的阴离子传输时间尺度是捕获时间,即阴离子被困在笼内的时间,而不是像Mogurampelly等人所认为的离子缔合寿命。polyIL链平均位移(ADs)的计算结果表明,除了自由体积分数外,链振荡的平均幅度和链平移速度在不同温度下导致了不同的扩散率。

https://cdn.ncbi.nlm.nih.gov/pmc/blobs/cb72/7210282/48708af41bcf/41598_2020_64689_Fig1_HTML.jpg

文献检索

告别复杂PubMed语法,用中文像聊天一样搜索,搜遍4000万医学文献。AI智能推荐,让科研检索更轻松。

立即免费搜索

文件翻译

保留排版,准确专业,支持PDF/Word/PPT等文件格式,支持 12+语言互译。

免费翻译文档

深度研究

AI帮你快速写综述,25分钟生成高质量综述,智能提取关键信息,辅助科研写作。

立即免费体验