Suppr超能文献

采用离体灌流大鼠肺模型获得的药物吸收参数可预测大鼠体内肺吸收。

Drug Absorption Parameters Obtained Using the Isolated Perfused Rat Lung Model Are Predictive of Rat In Vivo Lung Absorption.

机构信息

Department of Pharmacy, Uppsala University, Box 580, SE-751 23, Uppsala, Sweden.

Inhalation PD Unit, Pharmaceutical Technology & Development, Operations, AstraZeneca, Pepparedsleden 1, 43183, Gothenburg, Sweden.

出版信息

AAPS J. 2020 May 11;22(3):71. doi: 10.1208/s12248-020-00456-x.

Abstract

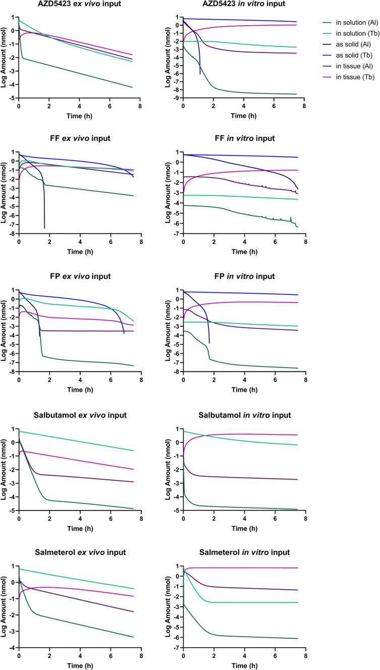
The ex vivo isolated perfused rat lung (IPL) model has been demonstrated to be a useful tool during drug development for studying pulmonary drug absorption. This study aims to investigate the potential use of IPL data to predict rat in vivo lung absorption. Absorption parameters determined from IPL data (ex vivo input parameters) in combination with intravenously determined pharmacokinetic data were used in a biopharmaceutics model to predict experimental rat in vivo plasma concentration-time profiles and lung amount after inhalation of five different inhalation compounds. The performance of simulations using ex vivo input parameters was compared with simulations using in vitro input parameters, to determine whether and to what extent predictability could be improved by using input parameters determined from the more complex ex vivo model. Simulations using ex vivo input parameters were within twofold average difference (AAFE < 2) from experimental in vivo data for all compounds except one. Furthermore, simulations using ex vivo input parameters performed significantly better than simulations using in vitro input parameters in predicting in vivo lung absorption. It could therefore be advantageous to base predictions of drug performance on IPL data rather than on in vitro data during drug development to increase mechanistic understanding of pulmonary drug absorption and to better understand how different substance properties and formulations might affect in vivo behavior of inhalation compounds.

摘要

离体灌流大鼠肺(IPL)模型已被证明是药物开发过程中研究肺部药物吸收的有用工具。本研究旨在探讨使用 IPL 数据预测大鼠体内肺吸收的潜力。将从 IPL 数据中确定的吸收参数(离体输入参数)与静脉内确定的药代动力学数据相结合,用于生物药剂学模型,以预测五种不同吸入化合物吸入后实验大鼠体内血浆浓度-时间曲线和肺量。使用离体输入参数进行模拟的性能与使用体外输入参数进行模拟的性能进行了比较,以确定通过使用更复杂的离体模型确定的输入参数是否可以提高预测能力以及在多大程度上可以提高预测能力。除一种化合物外,所有化合物的离体输入参数模拟结果均与实验体内数据相差两倍以内(AAFE<2)。此外,使用离体输入参数进行模拟在预测体内肺吸收方面明显优于使用体外输入参数进行模拟。因此,在药物开发过程中,基于 IPL 数据而非体外数据预测药物性能可能具有优势,以增加对肺部药物吸收的机制理解,并更好地了解不同物质特性和配方如何影响吸入化合物的体内行为。

https://cdn.ncbi.nlm.nih.gov/pmc/blobs/49d9/7214485/7c2fcf5f401f/12248_2020_456_Fig1_HTML.jpg

文献检索

告别复杂PubMed语法,用中文像聊天一样搜索,搜遍4000万医学文献。AI智能推荐,让科研检索更轻松。

立即免费搜索

文件翻译

保留排版,准确专业,支持PDF/Word/PPT等文件格式,支持 12+语言互译。

免费翻译文档

深度研究

AI帮你快速写综述,25分钟生成高质量综述,智能提取关键信息,辅助科研写作。

立即免费体验