Suppr超能文献

使用非谐振单元实现超宽带雷达散射截面缩减。

Ultra Wideband Radar Cross Section Reduction by using non-Resonant Unit Cells.

机构信息

School of Electrical Engineering, Iran University of Science and Technology, Tehran, Iran.

School of New Technologies, Iran University of Science and Technology, Tehran, Iran.

出版信息

Sci Rep. 2020 May 14;10(1):7955. doi: 10.1038/s41598-020-64362-0.

Abstract

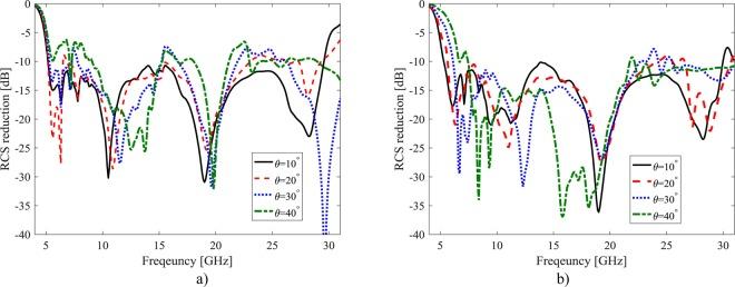
A general approach is proposed to design ultra-wideband radar cross section reduction (RCSR) metasurface by using non-resonant unit cells in chessboard arrangement. The proposed miniaturized artificial magnetic conductor unit cell is composed of two stacked non-resonant patches separated from one another by thin dielectric substrates. The genetic optimization algorithm is used to optimize the unit cell design parameters and obtain wide 10-dB RCSR bandwidth. The proposed approach is performed to design three different RCSR metasurfaces, ideal, ROGERS and low cost. The low cost RCSR metasurface composed of low cost commercially available FR-4 substrate is fabricated and tested which reduces RCS more than 10-dB from 5.22 GHz to 30.85 GHz, 142% fractional bandwidth. This metasurface has significantly wider RCSR bandwidth rather than the state of the art references as well as low cost, simple and light weight structure which facilities its practical applications.

摘要

提出了一种通过使用棋盘排列的非共振单元来设计超宽带雷达截面缩减 (RCSR) 超表面的通用方法。所提出的小型化人工磁导体单元由两个堆叠的非共振贴片组成,它们通过薄介电基底彼此隔开。使用遗传优化算法优化单元设计参数,获得宽 10dB 的 RCSR 带宽。采用该方法设计了三种不同的 RCSR 超表面,即理想、罗杰斯和低成本。制作并测试了由低成本商用 FR-4 基板制成的低成本 RCSR 超表面,其在 5.22GHz 至 30.85GHz 的范围内将 RCS 降低了 10dB 以上,带宽扩展了 142%。与现有技术参考相比,该超表面具有明显更宽的 RCSR 带宽,同时还具有低成本、结构简单、重量轻的特点,这使其具有实际应用的潜力。

https://cdn.ncbi.nlm.nih.gov/pmc/blobs/e9a1/7224219/22889d742241/41598_2020_64362_Fig1_HTML.jpg

文献AI研究员

20分钟写一篇综述,助力文献阅读效率提升50倍。

立即体验

用中文搜PubMed

大模型驱动的PubMed中文搜索引擎

马上搜索

文档翻译

学术文献翻译模型,支持多种主流文档格式。

立即体验