Suppr超能文献

血清高密度脂蛋白颗粒水平与冠心病患者的长期预后独立相关:GENES 研究。

Serum level of HDL particles are independently associated with long-term prognosis in patients with coronary artery disease: The GENES study.

机构信息

Institut National de la Santé et de la Recherche Médicale (INSERM), UMR 1048, Institute of Metabolic and Cardiovascular Diseases, Toulouse, France.

University of Toulouse, UMR1048, Paul Sabatier University, Toulouse, France.

出版信息

Sci Rep. 2020 May 18;10(1):8138. doi: 10.1038/s41598-020-65100-2.

Abstract

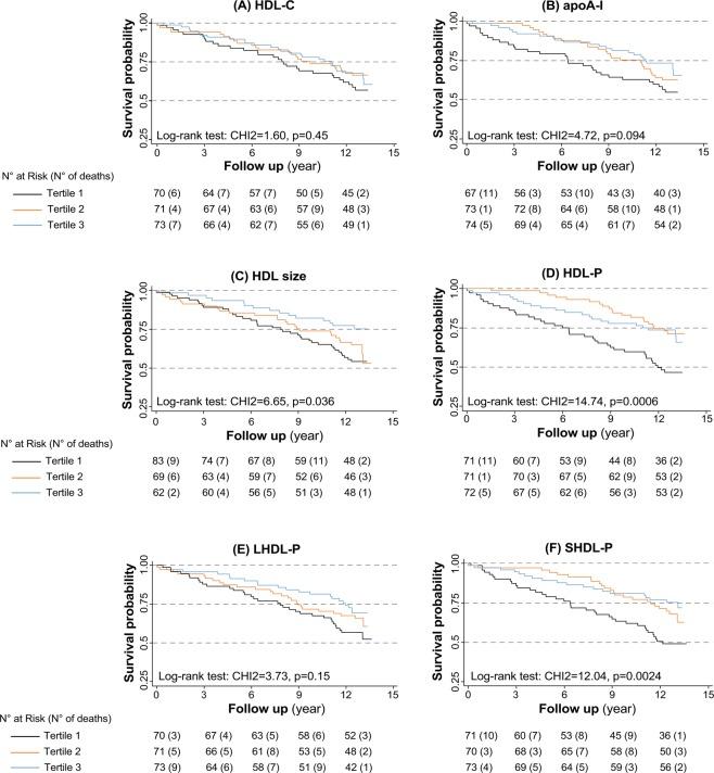
HDL-Cholesterol (HDL-C) is not an accurate surrogate marker to measure the cardioprotective functions of HDL in coronary artery diseases (CAD) patients. Hence, measurement of other HDL-related parameters may have prognostic superiority over HDL-C. In this work, we examined the predictive value of HDL particles profile for long-term mortality in CAD patients and to compare its informative value to that of HDL-C and apoA-I. HDL particles profiles were measured by nuclear magnetic resonance (NMR) spectroscopy in 214 male participants with stable CAD (45-74 years). Median follow up was 12.5 years with a 36.4% mortality rate. Cardiovascular mortality accounted for 64.5%. Mean concentrations of total HDL particles (HDL-P), small-sized HDL (SHDL-P) and apoA-I were lower in deceased than in surviving patients whereas no difference was observed according to HDL-C and large HDL particles. All NMR-HDL measures were correlated between themselves and with other HDL markers (HDL-C, apoA-I and LpA-I). In a multivariate model adjusted for cardiovascular risk factors and bioclinical variables, HDL-P and SHDL-P displayed the strongest inverse association with all-cause and cardiovascular mortality. Weaker associations were recorded for apoA-I. Based on our results, we conclude that HDL particle profile measured by NMR spectroscopy should be considered to better stratify risk in population at high risk or in the setting of pharmacotherapy.

摘要

高密度脂蛋白胆固醇(HDL-C)不能准确地作为衡量冠心病患者高密度脂蛋白(HDL)心脏保护功能的替代标志物。因此,测量其他与 HDL 相关的参数可能比 HDL-C 和载脂蛋白 A-I 更具有预后优势。在这项工作中,我们研究了 HDL 颗粒谱在冠心病患者中的长期死亡率预测价值,并将其与 HDL-C 和载脂蛋白 A-I 的信息价值进行比较。通过核磁共振(NMR)光谱法测量了 214 名男性稳定型冠心病患者(45-74 岁)的 HDL 颗粒谱。中位随访时间为 12.5 年,死亡率为 36.4%。心血管死亡率占 64.5%。与存活患者相比,死亡患者的总 HDL 颗粒(HDL-P)、小颗粒 HDL(SHDL-P)和载脂蛋白 A-I 的平均浓度较低,而 HDL-C 和大颗粒 HDL 则没有差异。所有 NMR-HDL 测量值之间以及与其他 HDL 标志物(HDL-C、载脂蛋白 A-I 和 LpA-I)之间均存在相关性。在调整心血管危险因素和生物临床变量的多变量模型中,HDL-P 和 SHDL-P 与全因和心血管死亡率呈最强的负相关。载脂蛋白 A-I 的相关性较弱。基于我们的结果,我们得出结论,通过 NMR 光谱法测量的 HDL 颗粒谱应该被认为是在高危人群或药物治疗环境中更好地分层风险的指标。

https://cdn.ncbi.nlm.nih.gov/pmc/blobs/7b86/7234989/7da91ea997c6/41598_2020_65100_Fig1_HTML.jpg

文献AI研究员

20分钟写一篇综述,助力文献阅读效率提升50倍。

立即体验

用中文搜PubMed

大模型驱动的PubMed中文搜索引擎

马上搜索

文档翻译

学术文献翻译模型,支持多种主流文档格式。

立即体验