Valadares Deborah S, Clemente Maria Clara H, de Freitas Elon F, Martins Gesley Alex V, Dias José A, Dias Sílvia C L
Laboratory of Catalysis, Chemistry Institute, (IQ-UnB), University of Brasília, Campus Universitário Darcy Ribeiro-Asa Norte, Brasília, DF 70910-900, Brazil.
Nanomaterials (Basel). 2020 Jun 29;10(7):1269. doi: 10.3390/nano10071269.
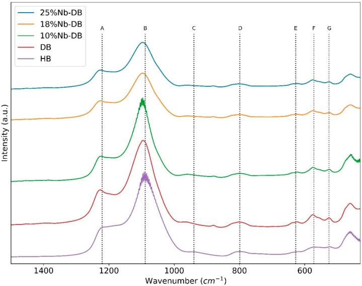
In this work, we investigated the role of solid-state dealumination by (NH)SiF (25% Al removal and 13% Si insertion), the impregnation of niobium (10, 18, and 25 wt. %) on dealuminated *BEA (DB) zeolite and their catalytic properties in ethanol and xylose transformations. Among all the studied catalysts, 18%Nb-DB showed increased mesoporosity and external areas. A leveling effect in the number and strength of the proposed two sites (Brønsted and Lewis) present in the catalyst (n = 0.24 mmol g, -ΔH = 49 kJ mol, and n = 0.20 mmol g, -ΔH = 42 kJ mol) in the catalyst 18%Nb-DB, might be responsible for its good activity. This catalyst presented the highest selectivity for diethyl ether, DEE (97%) with 61% conversion after 50 ethanol pulses at 230 °C (turnover number, TON DEE = 1.15). These features allowed catalytically fruitful bonding of the ethanol molecules to the neighboring sites on the channels, facilitating bimolecular ether formation through a possible SN mechanism. The same catalyst was active and selective for transformation of xylose at 180 °C, showing 64% conversion and 51% selectivity for furfural (TON Furfural = 24.7) using water as a green solvent.
在本工作中,我们研究了通过(NH₄)₂SiF₆进行的固态脱铝(去除25%的铝并插入13%的硅)、在脱铝的BEA(DB)沸石上浸渍铌(10%、18%和25%重量)及其在乙醇和木糖转化中的催化性能。在所有研究的催化剂中,18%Nb-DB表现出增加的介孔率和外表面积。在18%Nb-DB催化剂中,所提出的两种位点(布朗斯台德和路易斯)的数量和强度的平缓效应(n = 0.24 mmol g⁻¹,-ΔH = 49 kJ mol⁻¹,以及n = 0.20 mmol g⁻¹,-ΔH = 42 kJ mol⁻¹),可能是其良好活性的原因。该催化剂对二乙醚(DEE)表现出最高的选择性(97%),在230℃下经过50次乙醇脉冲后转化率为61%(周转数,TON DEE = 1.15)。这些特性使得乙醇分子能够催化有效地与通道上相邻位点结合,通过可能的SN机制促进双分子醚的形成。相同的催化剂在180℃下对木糖转化具有活性和选择性,以水作为绿色溶剂时,糠醛的转化率为64%,选择性为51%(TON糠醛 = 24.7)。