Suppr超能文献

景观植被生产力影响肯尼亚小型鳄梨农场关键害虫的种群动态。

Landscape Vegetation Productivity Influences Population Dynamics of Key Pests in Small Avocado Farms in Kenya.

作者信息

Toukem Nadia K, Yusuf Abdullahi A, Dubois Thomas, Abdel-Rahman Elfatih M, Adan Marian Salim, Mohamed Samira A

机构信息

International Centre of Insect Physiology and Ecology, Nairobi 00100, Kenya.

Department of Zoology and Entomology, University of Pretoria, Private Bag X20, 0028 Pretoria, South Africa.

出版信息

Insects. 2020 Jul 9;11(7):424. doi: 10.3390/insects11070424.

Abstract

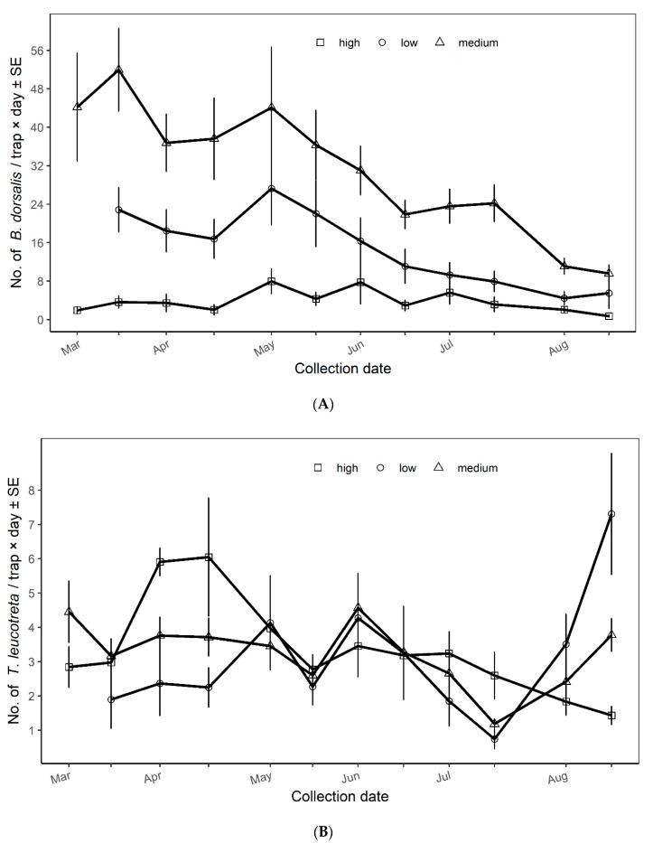
Avocado ( Mill.) production contributes to the economic growth of East Africa. However, poor fruit quality caused by infestations of tephritid fruit flies (Tephritidae) and the false codling moth, (Meyrick), hampers access to lucrative export markets. Remote sensing and spatial analysis are increasingly applied to crop pest studies to develop sustainable and cost-effective control strategies. In this study, we assessed pest abundance in Muranga, Kenya, across three vegetation productivity classes, ., low, medium and high, which were estimated using the normalised difference vegetation index at a landscape scale. Population densities of the oriental fruit fly, (Hendel) and in avocado farms were estimated through specific baited traps and fruit rearing. The population density of varied across the vegetation productivity classes throughout the study period, although not significantly. Meanwhile, showed a clear trend of decrease over time and was significantly lower in high vegetation productivity class compared to low and medium classes. (Walker) was the most abundant pest reared from fruit with few associated parasitoids, (Rondani) and (Ferriere).

摘要

鳄梨(Persea americana Mill.)的生产对东非的经济增长有贡献。然而,实蝇科果实蝇和苹果小卷蛾(Cryptophlebia leucotreta (Meyrick))的侵害导致果实品质不佳,阻碍了进入利润丰厚的出口市场。遥感和空间分析越来越多地应用于作物害虫研究,以制定可持续且具成本效益的控制策略。在本研究中,我们评估了肯尼亚穆兰加地区三个植被生产力等级(即低、中、高等级,这些等级是在景观尺度上使用归一化植被指数估算得出)的鳄梨害虫数量。通过特定的诱捕器和果实饲养法估算了东方果实蝇(Bactrocera dorsalis (Hendel))和苹果小卷蛾在鳄梨农场中的种群密度。在整个研究期间,东方果实蝇的种群密度在不同植被生产力等级间有所变化,不过差异不显著。与此同时,苹果小卷蛾呈明显的随时间减少趋势,并且在高植被生产力等级中的数量显著低于低等级和中等级。桃蛀果蛾(Carposina sasakii (Walker))是从果实中饲养出的数量最多的害虫,与之相关的寄生蜂很少,如红腹茧蜂(Apanteles kariyai (Rondani))和费氏茧蜂(Apanteles fairchildii (Ferriere))。

https://cdn.ncbi.nlm.nih.gov/pmc/blobs/5d88/7412565/952b61d53bee/insects-11-00424-g001.jpg

文献检索

告别复杂PubMed语法,用中文像聊天一样搜索,搜遍4000万医学文献。AI智能推荐,让科研检索更轻松。

立即免费搜索

文件翻译

保留排版,准确专业,支持PDF/Word/PPT等文件格式,支持 12+语言互译。

免费翻译文档

深度研究

AI帮你快速写综述,25分钟生成高质量综述,智能提取关键信息,辅助科研写作。

立即免费体验