• 文献检索
  • 文档翻译
  • 深度研究
  • 学术资讯
  • Suppr Zotero 插件Zotero 插件
  • 邀请有礼
  • 套餐&价格
  • 历史记录
应用&插件
Suppr Zotero 插件Zotero 插件浏览器插件Mac 客户端Windows 客户端微信小程序
定价
高级版会员购买积分包购买API积分包
服务
文献检索文档翻译深度研究API 文档MCP 服务
关于我们
关于 Suppr公司介绍联系我们用户协议隐私条款
关注我们

Suppr 超能文献

核心技术专利:CN118964589B侵权必究
粤ICP备2023148730 号-1Suppr @ 2026

文献检索

告别复杂PubMed语法,用中文像聊天一样搜索,搜遍4000万医学文献。AI智能推荐,让科研检索更轻松。

立即免费搜索

文件翻译

保留排版,准确专业,支持PDF/Word/PPT等文件格式,支持 12+语言互译。

免费翻译文档

深度研究

AI帮你快速写综述,25分钟生成高质量综述,智能提取关键信息,辅助科研写作。

立即免费体验

人甘油醛-3-磷酸脱氢酶(GAPDH)的半胱氨酸部分催化氧化生成半胱氨酸磺酸。

Partial catalytic Cys oxidation of human GAPDH to Cys-sulfonic acid.

作者信息

Lia Andrea, Dowle Adam, Taylor Chris, Santino Angelo, Roversi Pietro

机构信息

Leicester Institute of Chemical and Structural Biology and Department of Molecular and Cell Biology, University of Leicester, Henry Wellcome Building, Lancaster Road, LE1 7HB, UK.

Institute of Sciences of Food Production, C.N.R. Unit of Lecce, ia Monteroni, Lecce, 73100, Italy.

出版信息

Wellcome Open Res. 2020 Aug 25;5:114. doi: 10.12688/wellcomeopenres.15893.2. eCollection 2020.

DOI:10.12688/wellcomeopenres.15893.2
PMID:32802964
原文链接:https://pmc.ncbi.nlm.nih.gov/articles/PMC7422855/
Abstract

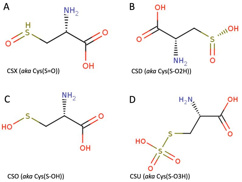
: n-Glyceraldehyde-3-phosphate dehydrogenase (GAPDH) catalyses the NAD -dependent oxidative phosphorylation of n-glyceraldehyde-3-phosphate to 1,3-diphospho-n-glycerate and its reverse reaction in glycolysis and gluconeogenesis. : Four distinct crystal structures of human n-Glyceraldehyde-3-phosphate dehydrogenase ( GAPDH) have been determined from protein purified from the supernatant of HEK293F human epithelial kidney cells. : X-ray crystallography and mass-spectrometry indicate that the catalytic cysteine of the protein ( GAPDH Cys152) is partially oxidised to cysteine S-sulfonic acid. The average occupancy for the Cys152-S-sulfonic acid modification over the 20 crystallographically independent copies of GAPDH across three of the crystal forms obtained is 0.31±0.17. : The modification induces no significant structural changes on the tetrameric enzyme, and only makes aspecific contacts to surface residues in the active site, in keeping with the hypothesis that the oxidising conditions of the secreted mammalian cell expression system result in GAPDH catalytic cysteine S-sulfonic acid modification and irreversible inactivation of the enzyme.

摘要

:甘油醛-3-磷酸脱氢酶(GAPDH)催化甘油醛-3-磷酸在NAD依赖下氧化磷酸化为1,3-二磷酸甘油酸,并在糖酵解和糖异生过程中催化其逆反应。:已从人胚肾细胞系HEK293F上清液中纯化的蛋白质测定了人甘油醛-3-磷酸脱氢酶(GAPDH)的四种不同晶体结构。:X射线晶体学和质谱分析表明,该蛋白质的催化半胱氨酸(GAPDH Cys152)部分氧化为半胱氨酸S-磺酸。在获得的三种晶体形式中,20个晶体学独立的GAPDH拷贝上Cys152-S-磺酸修饰的平均占有率为0.31±0.17。:这种修饰在四聚体酶上未引起明显的结构变化,仅与活性位点的表面残基进行非特异性接触,这与分泌型哺乳动物细胞表达系统的氧化条件导致GAPDH催化半胱氨酸S-磺酸修饰和酶的不可逆失活这一假设相符。

https://cdn.ncbi.nlm.nih.gov/pmc/blobs/b3a1/7447957/cfb4293133dd/wellcomeopenres-5-17846-g0005.jpg
https://cdn.ncbi.nlm.nih.gov/pmc/blobs/b3a1/7447957/cb1e11aaf96b/wellcomeopenres-5-17846-g0000.jpg
https://cdn.ncbi.nlm.nih.gov/pmc/blobs/b3a1/7447957/1e58280b11f8/wellcomeopenres-5-17846-g0001.jpg
https://cdn.ncbi.nlm.nih.gov/pmc/blobs/b3a1/7447957/8a8b59c4fc77/wellcomeopenres-5-17846-g0002.jpg
https://cdn.ncbi.nlm.nih.gov/pmc/blobs/b3a1/7447957/40cfc8571892/wellcomeopenres-5-17846-g0003.jpg
https://cdn.ncbi.nlm.nih.gov/pmc/blobs/b3a1/7447957/d11444eeb99b/wellcomeopenres-5-17846-g0004.jpg
https://cdn.ncbi.nlm.nih.gov/pmc/blobs/b3a1/7447957/cfb4293133dd/wellcomeopenres-5-17846-g0005.jpg
https://cdn.ncbi.nlm.nih.gov/pmc/blobs/b3a1/7447957/cb1e11aaf96b/wellcomeopenres-5-17846-g0000.jpg
https://cdn.ncbi.nlm.nih.gov/pmc/blobs/b3a1/7447957/1e58280b11f8/wellcomeopenres-5-17846-g0001.jpg
https://cdn.ncbi.nlm.nih.gov/pmc/blobs/b3a1/7447957/8a8b59c4fc77/wellcomeopenres-5-17846-g0002.jpg
https://cdn.ncbi.nlm.nih.gov/pmc/blobs/b3a1/7447957/40cfc8571892/wellcomeopenres-5-17846-g0003.jpg
https://cdn.ncbi.nlm.nih.gov/pmc/blobs/b3a1/7447957/d11444eeb99b/wellcomeopenres-5-17846-g0004.jpg
https://cdn.ncbi.nlm.nih.gov/pmc/blobs/b3a1/7447957/cfb4293133dd/wellcomeopenres-5-17846-g0005.jpg

相似文献

1
Partial catalytic Cys oxidation of human GAPDH to Cys-sulfonic acid.人甘油醛-3-磷酸脱氢酶(GAPDH)的半胱氨酸部分催化氧化生成半胱氨酸磺酸。
Wellcome Open Res. 2020 Aug 25;5:114. doi: 10.12688/wellcomeopenres.15893.2. eCollection 2020.
2
Oxidation of the active site cysteine residue of glyceraldehyde-3-phosphate dehydrogenase to the hyper-oxidized sulfonic acid form is favored under crowded conditions.在拥挤的条件下,甘油醛-3-磷酸脱氢酶活性部位半胱氨酸残基被氧化为超氧化磺酸形式是有利的。
Free Radic Biol Med. 2024 Feb 20;212:1-9. doi: 10.1016/j.freeradbiomed.2023.12.015. Epub 2023 Dec 18.
3
Influence of Oxidative Stress on Catalytic and Non-glycolytic Functions of Glyceraldehyde-3-phosphate Dehydrogenase.氧化应激对甘油醛-3-磷酸脱氢酶的催化和非糖酵解功能的影响。
Curr Med Chem. 2020;27(13):2040-2058. doi: 10.2174/0929867325666180530101057.
4
Molecular basis of enzyme inactivation by an endogenous electrophile 4-hydroxy-2-nonenal: identification of modification sites in glyceraldehyde-3-phosphate dehydrogenase.内源性亲电试剂4-羟基-2-壬烯醛使酶失活的分子基础:甘油醛-3-磷酸脱氢酶中修饰位点的鉴定。
Biochemistry. 2003 Apr 1;42(12):3474-80. doi: 10.1021/bi027172o.
5
Mechanism of inactivation of glyceraldehyde-3-phosphate dehydrogenase in the presence of methylglyoxal.甲基乙二醛存在下3-磷酸甘油醛脱氢酶的失活机制
Arch Biochem Biophys. 2023 Jan 1;733:109485. doi: 10.1016/j.abb.2022.109485. Epub 2022 Dec 5.
6
Glyceraldehyde 3-phosphate dehydrogenase (GAPDH) is inactivated by S-sulfuration in vitro.甘油醛-3-磷酸脱氢酶(GAPDH)在体外可被 S-硫化失活。
Free Radic Biol Med. 2015 Dec;89:512-21. doi: 10.1016/j.freeradbiomed.2015.09.007. Epub 2015 Nov 4.
7
Inactivation of glyceraldehyde-3-phosphate dehydrogenase by fumarate in diabetes: formation of S-(2-succinyl)cysteine, a novel chemical modification of protein and possible biomarker of mitochondrial stress.糖尿病中富马酸盐导致3-磷酸甘油醛脱氢酶失活:S-(2-琥珀酰)半胱氨酸的形成,一种新型蛋白质化学修饰及线粒体应激的潜在生物标志物
Diabetes. 2008 Jan;57(1):41-9. doi: 10.2337/db07-0838. Epub 2007 Oct 12.
8
S-glutathionylation of glyceraldehyde-3-phosphate dehydrogenase induces formation of C150-C154 intrasubunit disulfide bond in the active site of the enzyme.Glyceraldehyde-3-phosphate dehydrogenase 的 S-谷胱甘肽化诱导酶活性部位的 C150-C154 亚基内二硫键的形成。
Biochim Biophys Acta Gen Subj. 2017 Dec;1861(12):3167-3177. doi: 10.1016/j.bbagen.2017.09.008. Epub 2017 Sep 19.
9
Comparative enzymatic properties of GapB-encoded erythrose-4-phosphate dehydrogenase of Escherichia coli and phosphorylating glyceraldehyde-3-phosphate dehydrogenase.大肠杆菌中由GapB编码的4-磷酸赤藓糖脱氢酶与磷酸化3-磷酸甘油醛脱氢酶的比较酶学性质
J Biol Chem. 1997 Jun 13;272(24):15106-12. doi: 10.1074/jbc.272.24.15106.
10
S-glutathionylation of human glyceraldehyde-3-phosphate dehydrogenase and possible role of Cys152-Cys156 disulfide bridge in the active site of the protein.人甘油醛-3-磷酸脱氢酶的 S-谷胱甘肽化和 Cys152-Cys156 二硫键在蛋白质活性部位中的可能作用。
Biochim Biophys Acta Gen Subj. 2020 Jun;1864(6):129560. doi: 10.1016/j.bbagen.2020.129560. Epub 2020 Feb 14.

引用本文的文献

1
Mechanism of GAPDH Redox Signaling by HO Activation of a Two-Cysteine Switch.HO 激活二半胱氨酸开关调节 GAPDH 的氧化还原信号机制。
Int J Mol Sci. 2022 Apr 21;23(9):4604. doi: 10.3390/ijms23094604.
2
Stoichiometric Thiol Redox Proteomics for Quantifying Cellular Responses to Perturbations.用于量化细胞对扰动反应的化学计量硫醇氧化还原蛋白质组学
Antioxidants (Basel). 2021 Mar 23;10(3):499. doi: 10.3390/antiox10030499.
3
Redox-Oligomeric State of Peroxiredoxin-2 and Glyceraldehyde-3-Phosphate Dehydrogenase in Obstructive Sleep Apnea Red Blood Cells under Positive Airway Pressure Therapy.
气道正压通气治疗下阻塞性睡眠呼吸暂停患者红细胞中过氧化物酶2和甘油醛-3-磷酸脱氢酶的氧化还原寡聚状态
Antioxidants (Basel). 2020 Nov 26;9(12):1184. doi: 10.3390/antiox9121184.