• 文献检索
  • 文档翻译
  • 深度研究
  • 学术资讯
  • Suppr Zotero 插件Zotero 插件
  • 邀请有礼
  • 套餐&价格
  • 历史记录
应用&插件
Suppr Zotero 插件Zotero 插件浏览器插件Mac 客户端Windows 客户端微信小程序
定价
高级版会员购买积分包购买API积分包
服务
文献检索文档翻译深度研究API 文档MCP 服务
关于我们
关于 Suppr公司介绍联系我们用户协议隐私条款
关注我们

Suppr 超能文献

核心技术专利:CN118964589B侵权必究
粤ICP备2023148730 号-1Suppr @ 2026

文献检索

告别复杂PubMed语法,用中文像聊天一样搜索,搜遍4000万医学文献。AI智能推荐,让科研检索更轻松。

立即免费搜索

文件翻译

保留排版,准确专业,支持PDF/Word/PPT等文件格式,支持 12+语言互译。

免费翻译文档

深度研究

AI帮你快速写综述,25分钟生成高质量综述,智能提取关键信息,辅助科研写作。

立即免费体验

基于术前纤维蛋白原和白蛋白水平的累积评分在颅底脊索瘤中的预后价值

Prognostic Value of Cumulative Score Based on Preoperative Fibrinogen and Albumin Level in Skull Base Chordoma.

作者信息

Li Mingxuan, Bai Jiwei, Wang Shuai, Zhai Yixuan, Zhang Shuheng, Li Chuzhong, Du Jiang, Zhang Yazhuo

机构信息

Beijing Neurosurgical Institute, Capital Medical University, Beijing, People's Republic of China.

Department of Neurosurgery, Beijing Tiantan Hospital, Capital Medical University, Beijing, People's Republic of China.

出版信息

Onco Targets Ther. 2020 Aug 20;13:8337-8346. doi: 10.2147/OTT.S257779. eCollection 2020.

DOI:10.2147/OTT.S257779
PMID:32903874
原文链接:https://pmc.ncbi.nlm.nih.gov/articles/PMC7445498/
Abstract

OBJECTIVE

Inflammation and malnutrition have been shown to be correlated with tumor progression and a poor prognosis in various cancers. However, the clinical implications of biomarkers of inflammation and malnutrition in chordoma have not been elucidated. We attempted to characterize the fibrinogen and albumin levels in skull base chordoma and investigate their correlations with clinicopathological data and survival.

METHODS

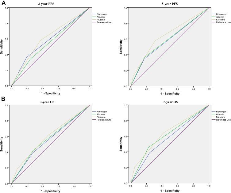
The preoperative levels of fibrinogen and albumin were assessed in 183 primary skull base chordoma patients. The cutoff values were determined by X-tile software, and their correlations with patient prognosis were further explored using the Kaplan-Meier curve and Cox proportional hazards regression analysis. In addition, the predictive performances of these markers in survival were evaluated by receiver operating characteristic curves.

RESULTS

The values of fibrinogen and albumin in skull base chordoma patients ranged from 1.73 to 7.40 and 37.6 to 53.0 g/L, respectively. The optimal cutoff values for fibrinogen and albumin were 3.29 and 44.60 g/L, respectively. Fibrinogen and albumin were correlated with the patient age and tumor pathology types. Albumin, but not fibrinogen, was associated with the patients' progression-free survival and overall survival. Importantly, the FA score, which combines fibrinogen and albumin, could independently predict both progression-free survival and overall survival, and enhanced the performance of fibrinogen or albumin in survival prediction in skull base chordoma.

CONCLUSION

Our data reveal the clinical prognostic role of albumin and suggest that the FA score may be a valuable prognostic grading system in skull base chordoma.

摘要

目的

炎症和营养不良已被证明与多种癌症的肿瘤进展及预后不良相关。然而,炎症和营养不良生物标志物在脊索瘤中的临床意义尚未阐明。我们试图对颅底脊索瘤中的纤维蛋白原和白蛋白水平进行特征描述,并研究它们与临床病理数据及生存情况的相关性。

方法

对183例原发性颅底脊索瘤患者术前的纤维蛋白原和白蛋白水平进行评估。通过X-tile软件确定临界值,并使用Kaplan-Meier曲线和Cox比例风险回归分析进一步探讨它们与患者预后的相关性。此外,通过受试者工作特征曲线评估这些标志物在生存方面的预测性能。

结果

颅底脊索瘤患者的纤维蛋白原和白蛋白值分别为1.73至7.40以及37.6至53.0 g/L。纤维蛋白原和白蛋白的最佳临界值分别为3.29和44.60 g/L。纤维蛋白原和白蛋白与患者年龄及肿瘤病理类型相关。白蛋白而非纤维蛋白原与患者的无进展生存期和总生存期相关。重要的是,结合纤维蛋白原和白蛋白的FA评分可独立预测无进展生存期和总生存期,并提高了纤维蛋白原或白蛋白在颅底脊索瘤生存预测中的性能。

结论

我们的数据揭示了白蛋白的临床预后作用,并表明FA评分可能是颅底脊索瘤中有价值的预后分级系统。

https://cdn.ncbi.nlm.nih.gov/pmc/blobs/7cfa/7445498/5e97e7c504ea/OTT-13-8337-g0003.jpg
https://cdn.ncbi.nlm.nih.gov/pmc/blobs/7cfa/7445498/dc181c53185f/OTT-13-8337-g0001.jpg
https://cdn.ncbi.nlm.nih.gov/pmc/blobs/7cfa/7445498/e70248dafa28/OTT-13-8337-g0002.jpg
https://cdn.ncbi.nlm.nih.gov/pmc/blobs/7cfa/7445498/5e97e7c504ea/OTT-13-8337-g0003.jpg
https://cdn.ncbi.nlm.nih.gov/pmc/blobs/7cfa/7445498/dc181c53185f/OTT-13-8337-g0001.jpg
https://cdn.ncbi.nlm.nih.gov/pmc/blobs/7cfa/7445498/e70248dafa28/OTT-13-8337-g0002.jpg
https://cdn.ncbi.nlm.nih.gov/pmc/blobs/7cfa/7445498/5e97e7c504ea/OTT-13-8337-g0003.jpg

相似文献

1
Prognostic Value of Cumulative Score Based on Preoperative Fibrinogen and Albumin Level in Skull Base Chordoma.基于术前纤维蛋白原和白蛋白水平的累积评分在颅底脊索瘤中的预后价值
Onco Targets Ther. 2020 Aug 20;13:8337-8346. doi: 10.2147/OTT.S257779. eCollection 2020.
2
Clinical Implication of Systemic Immune-Inflammation Index and Prognostic Nutritional Index in Skull Base Chordoma Patients.全身免疫炎症指数和预后营养指数在颅底脊索瘤患者中的临床意义
Front Oncol. 2021 Feb 25;11:548325. doi: 10.3389/fonc.2021.548325. eCollection 2021.
3
Mean platelet volume and platelet distribution width serve as prognostic biomarkers in skull base chordoma: a retrospective study.平均血小板体积和血小板分布宽度可作为颅底脊索瘤的预后生物标志物:一项回顾性研究。
BMC Cancer. 2020 Oct 12;20(1):988. doi: 10.1186/s12885-020-07497-7.
4
High Red Cell Distribution Width Independently Predicts Adverse Survival in Patients with Newly Diagnosed Skull Base Chordoma.高红细胞分布宽度独立预测新诊断颅底脊索瘤患者的不良生存情况。
Onco Targets Ther. 2021 Dec 11;14:5435-5445. doi: 10.2147/OTT.S335454. eCollection 2021.
5
High systemic inflammation score is associated with adverse survival in skull base chordoma.全身炎症评分高与颅底脊索瘤的不良生存相关。
Front Oncol. 2022 Oct 14;12:1046093. doi: 10.3389/fonc.2022.1046093. eCollection 2022.
6
Evaluation of cumulative prognostic score based on pretreatment plasma fibrinogen and serum albumin levels in patients with newly diagnosed high-grade gliomas.基于新诊断的高级别胶质瘤患者治疗前血浆纤维蛋白原和血清白蛋白水平的累积预后评分评估
Oncotarget. 2017 Jul 25;8(30):49605-49614. doi: 10.18632/oncotarget.17849.
7
SNF5 as a prognostic factor in skull base chordoma.SNF5 作为颅底脊索瘤的预后因素。
J Neurooncol. 2018 Mar;137(1):139-146. doi: 10.1007/s11060-017-2706-3. Epub 2017 Dec 8.
8
Prognostic significance of pretreatment plasma D-dimer levels in patients with spinal chordoma: a retrospective cohort study.术前血浆 D-二聚体水平对脊髓脊索瘤患者预后的意义:一项回顾性队列研究。
Eur Spine J. 2019 Jun;28(6):1480-1490. doi: 10.1007/s00586-018-05872-4. Epub 2019 Jan 25.
9
Predictive Value of Transforming Growth Factor-α and Ki-67 for the Prognosis of Skull Base Chordoma.转化生长因子-α和 Ki-67 对颅底脊索瘤预后的预测价值。
World Neurosurg. 2019 Sep;129:e199-e206. doi: 10.1016/j.wneu.2019.05.110. Epub 2019 May 21.
10
Prognostic scores based on the preoperative plasma fibrinogen and serum albumin level as a prognostic factor in patients with upper urinary tract urothelial carcinoma.基于术前血浆纤维蛋白原和血清白蛋白水平的预后评分作为上尿路尿路上皮癌患者的预后因素。
Oncotarget. 2017 Mar 22;8(40):68964-68973. doi: 10.18632/oncotarget.16483. eCollection 2017 Sep 15.

引用本文的文献

1
Competing risk nomogram for predicting prognosis of patients with spinal and pelvic chordoma: A SEER-based retrospective study.预测脊柱和骨盆脊索瘤患者预后的竞争风险列线图:一项基于监测、流行病学和最终结果(SEER)数据库的回顾性研究
Eur Spine J. 2023 Apr;32(4):1334-1344. doi: 10.1007/s00586-023-07590-y. Epub 2023 Feb 18.
2
High systemic inflammation score is associated with adverse survival in skull base chordoma.全身炎症评分高与颅底脊索瘤的不良生存相关。
Front Oncol. 2022 Oct 14;12:1046093. doi: 10.3389/fonc.2022.1046093. eCollection 2022.
3
Prognostic molecular biomarkers in chordomas: A systematic review and identification of clinically usable biomarker panels.

本文引用的文献

1
SNF5 as a prognostic factor in skull base chordoma.SNF5 作为颅底脊索瘤的预后因素。
J Neurooncol. 2018 Mar;137(1):139-146. doi: 10.1007/s11060-017-2706-3. Epub 2017 Dec 8.
2
Prognostic scores based on the preoperative plasma fibrinogen and serum albumin level as a prognostic factor in patients with upper urinary tract urothelial carcinoma.基于术前血浆纤维蛋白原和血清白蛋白水平的预后评分作为上尿路尿路上皮癌患者的预后因素。
Oncotarget. 2017 Mar 22;8(40):68964-68973. doi: 10.18632/oncotarget.16483. eCollection 2017 Sep 15.
3
Postoperative decrease of serum albumin predicts short-term complications in patients undergoing gastric cancer resection.
脊索瘤的预后分子生物标志物:一项系统综述及临床可用生物标志物组合的鉴定
Front Oncol. 2022 Sep 29;12:997506. doi: 10.3389/fonc.2022.997506. eCollection 2022.
4
Loss of SMARCB1 promotes autophagy and facilitates tumour progression in chordoma by transcriptionally activating ATG5.SMARCB1 的缺失通过转录激活 ATG5 促进脊索瘤中的自噬并促进肿瘤进展。
Cell Prolif. 2021 Dec;54(12):e13136. doi: 10.1111/cpr.13136. Epub 2021 Oct 20.
胃癌切除术后血清白蛋白降低预示患者短期并发症。
World J Gastroenterol. 2017 Jul 21;23(27):4978-4985. doi: 10.3748/wjg.v23.i27.4978.
4
Evaluation of cumulative prognostic score based on pretreatment plasma fibrinogen and serum albumin levels in patients with newly diagnosed high-grade gliomas.基于新诊断的高级别胶质瘤患者治疗前血浆纤维蛋白原和血清白蛋白水平的累积预后评分评估
Oncotarget. 2017 Jul 25;8(30):49605-49614. doi: 10.18632/oncotarget.17849.
5
Incidence, Treatment, and Survival Patterns for Sacral Chordoma in the United States, 1974-2011.1974 - 2011年美国骶骨脊索瘤的发病率、治疗情况及生存模式
Front Oncol. 2016 Sep 12;6:203. doi: 10.3389/fonc.2016.00203. eCollection 2016.
6
Differences in Dural Penetration of Clival Chordomas Are Associated with Different Prognosis and Expression of Platelet-Derived Growth Factor Receptor-β.斜坡脊索瘤硬脑膜侵犯的差异与不同预后及血小板衍生生长因子受体-β的表达相关。
World Neurosurg. 2017 Feb;98:288-295. doi: 10.1016/j.wneu.2016.07.096. Epub 2016 Aug 6.
7
Serum albumin is a strong predictor of survival in patients with advanced-stage non-small cell lung cancer treated with erlotinib.血清白蛋白是接受厄洛替尼治疗的晚期非小细胞肺癌患者生存的强有力预测指标。
Neoplasma. 2016;63(3):471-6. doi: 10.4149/318_151001N512.
8
Classification and surgical approaches for transnasal endoscopic skull base chordoma resection: a 6-year experience with 161 cases.经鼻内镜颅底脊索瘤切除术的分类及手术入路:161例患者的6年经验
Neurosurg Rev. 2016 Apr;39(2):321-32; discussion 332-3. doi: 10.1007/s10143-015-0696-1. Epub 2016 Feb 3.
9
Building a global consensus approach to chordoma: a position paper from the medical and patient community.建立全球共识方法治疗 chordoma:来自医学和患者社区的立场文件。
Lancet Oncol. 2015 Feb;16(2):e71-83. doi: 10.1016/S1470-2045(14)71190-8.
10
Cancer-related inflammation and treatment effectiveness.癌症相关炎症与治疗效果。
Lancet Oncol. 2014 Oct;15(11):e493-503. doi: 10.1016/S1470-2045(14)70263-3.