Yang Tonghan, He Wei, Chen Guojian, Zeng Weijing, Wang Jinzhi, Zeng Lingmin, Liang Jianlie
College of Chemistry and Chemical Engineering, Guangxi University, Nanning 530004, China.
School of Resources, Environment and Materials and Guangxi Key Laboratory of Processing for Non-ferrous Metallic and Featured Materials, Guangxi University, Nanning 530004, China.
Materials (Basel). 2020 Sep 9;13(18):3990. doi: 10.3390/ma13183990.
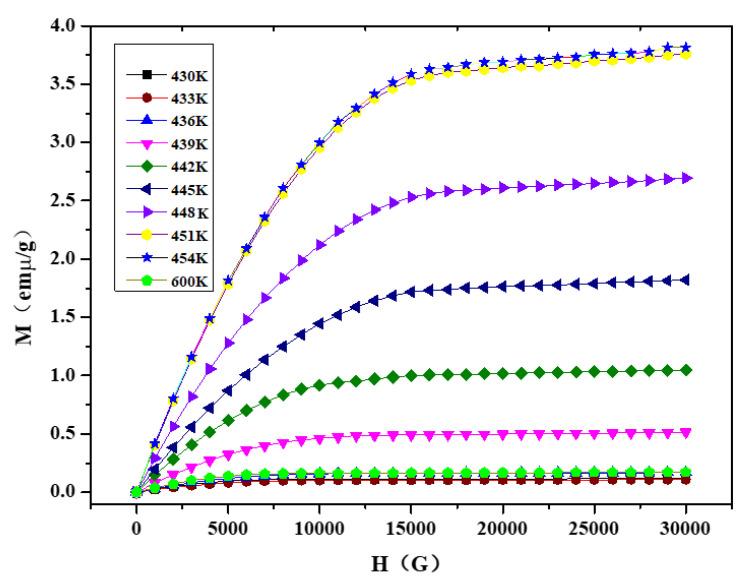
The phase relationships of the ternary Co-Ni-In system at 673 K and 873 K were investigated by means of powder X-ray diffraction, scanning electron microscopy equipped with energy dispersive spectroscopy, and optical microscopy. Though CoIn does not exist at 873 K, the ternary solid solution CoNiIn exists at both 673 K and 873 K with different composition ranges. The Rietveld refinements were carried out to investigate the crystal structure of CoNiIn (x = 0.540, and 0.580) and NiCoIn (x = 0.200). The magnetization dependence of temperature (MT) curves of NiCoIn (x = 0.200) and CoNiIn (x = 0.540) are similar to those of the ferromagnetic shape memory alloys Ni-Mn-A (A = Ga, Sn, and In), but do not undergo martensitic transformation. The maximum magnetic entropy changes in NiCoIn (x = 0.200) and CoNiIn (x = 0.540) under 3T are 1.25 and 1.475 J kgK, respectively.
通过粉末X射线衍射、配备能谱仪的扫描电子显微镜和光学显微镜研究了三元Co-Ni-In体系在673 K和873 K时的相关系。尽管CoIn在873 K时不存在,但三元固溶体CoNiIn在673 K和873 K时均存在,且成分范围不同。进行了Rietveld精修以研究CoNiIn(x = 0.540和0.580)和NiCoIn(x = 0.200)的晶体结构。NiCoIn(x = 0.200)和CoNiIn(x = 0.540)的磁化强度-温度(MT)曲线与铁磁形状记忆合金Ni-Mn-A(A = Ga、Sn和In)的相似,但不发生马氏体转变。在3T下,NiCoIn(x = 0.200)和CoNiIn(x = 0.540)的最大磁熵变分别为1.25和1.475 J kgK。